

英语原文共 20 页,剩余内容已隐藏,支付完成后下载完整资料
硬件在环仿真和其在汽车领域的前景
摘要
硬件在环(HIL)仿真从控制原型设计工具迅速演变为系统建模,仿真和合成范例,协同组合物理和虚拟原型的许多优点。 本文简要概述了HIL仿真的关键推动因素和众多应用,重点介绍了从控制验证工具到系统开发范例的变形。 然后描述了最先进的发动机在环(EIL)模拟设施,突出了HIL模拟的使用,动力系互动的系统级实验评估和清洁和高效推进策略的发展。 该设施包括通过高响应的测力计耦合到精确的实时驱动器,传动系统和车辆模型的真实柴油发动机。此外,该设施可以复制在真实动力系内发生的高度动态的相互作用,并通过现有技术的仪器测量它们对瞬态排放和视觉信号的影响。 该设施用于集成动力系统开发的可行性通过探索先进的高移动性多用途轮式车辆(HMMWV)动力系的发展的案例研究来证明。
关键词:HIL仿真、发动机在环仿真;、短暂柴油排放、 HMMWV
1.引言
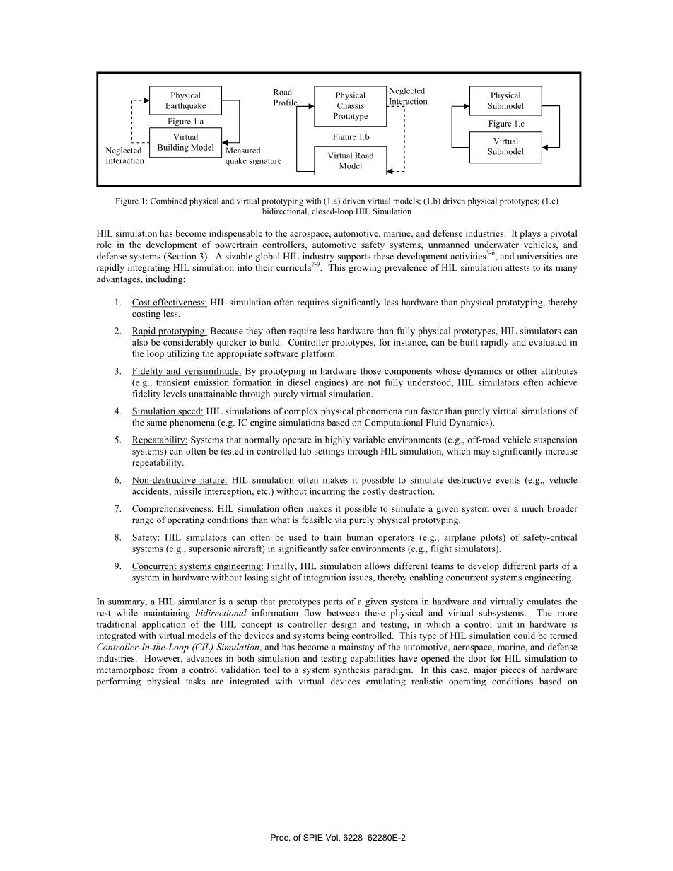
合成现代工程系统总是需要一定程度的原型。虚拟原型可以快速有效地支持初始系统设计工作,但随着系统设计的成熟,原型设计的需求在物理上增加。硬件在环(HIL)仿真可以被视为物理和虚拟原型(也称为“建模和仿真”)的协同组合。文献中存在HIL模拟的各种定义1,2。本文将HIL模拟器定义为“通过将其某些子系统的忠实物理副本浸入其余子系统的闭环虚拟仿真中来模拟系统的设置”。这个定义突出了HIL模拟器的关键特性,即它必须捕获其物理和虚拟成分之间的闭环或双向相互作用。通常可以假定给定仿真设置的物理和虚拟成分之间的单向相互作用,而几乎没有保真度损失。例如,当模拟虚拟建筑物对物理测量的地震特征的响应时,通常忽略建筑物对地震特征的影响,如图1.a所示。类似地,当模拟物理原型汽车底盘对虚拟道路轮廓的响应时,可以忽略底盘的垂直运动对道路轮廓的影响,如图1.b所示。在这两种情况下,这提供了具有可离线模拟或测量的驱动子系统和可以使用驱动子系统的输出模拟的驱动子系统的设置。实现这样的解耦模拟器所涉及的挑战与构建闭环HIL模拟器的挑战截然不同,例如图1.c中概述的那样。本文重点介绍闭环HIL仿真及其独特的挑战和潜力。
HIL仿真已成为航空航天,汽车,船舶和国防工业不可或缺的一部分。 它在动力系统控制器,汽车安全系统,无人水下航行器和防御系统的发展中起着关键作用(第3节)。 一个相当大的全球HIL行业支持这些发展活动3-6,大学正在迅速地将HIL模拟集成到他们的课程7-9。 HIL模拟的这种日益流行证明了其许多优点,包括
1.成本效益:HIL模拟通常需要比物理原型显着少的硬件,从而降低成本。
2.快速原型:因为它们通常比完全物理原型需要更少的硬件,HIL模拟器也可以更快地构建。例如,控制器原型可以快速构建并且使用适当的软件平台在循环中进行评估。
3.保真度和真实性:通过在硬件中原型化,那些其动力学或其他属性(例如,柴油发动机中的瞬态排放形成)的组件未被完全理解,HIL模拟器通常通过纯虚拟仿真实现不可实现的保真水平。
4.仿真速度:复杂物理现象的HIL仿真比同一现象的纯虚拟仿真(例如基于计算流体动力学的IC发动机仿真)运行得更快。
5.可重复性:通常在高度可变环境中操作的系统(例如,越野车辆悬架系统)通常可以在受控的实验室设置中通过HIL模拟来测试,这可以显着地增加重复性。
6.非破坏性质:HIL模拟通常使得可以模拟破坏性事件(例如,车辆事故,导弹拦截等),而不会引起昂贵的破坏。
7.综合性:HIL模拟常常使得可以在比通过纯物理原型可行的更宽的操作条件范围内模拟给定系统。
8.安全:HIL模拟器通常可用于在显着更安全的环境(例如,飞行模拟器)中训练安全关键系统(例如,超音速飞行器)的人类操作者(例如飞机驾驶员)。
9.并发系统工程:最后,HIL仿真允许不同的团队在硬件中开发系统的不同部分,而不会忽视集成问题,从而实现并发系统工程。
总之,HIL模拟器是一种在硬件上原型化给定系统的部分并且虚拟地模拟其余部分同时保持这些物理和虚拟子系统之间的双向信息流的设置。 HIL概念的更传统的应用是控制器设计和测试,其中硬件中的控制单元与被控制的设备和系统的虚拟模型集成。 这种类型的HIL仿真可以称为控制器在环(CIL)仿真,并已成为汽车,航空航天,海洋和国防工业的支柱。 然而,模拟和测试能力的进步为HIL仿真从控制验证工具到系统综合范例的转变打开了大门。 在这种情况下,执行物理任务的主要硬件与基于模拟真实操作条件的虚拟设备集成高保真模拟的预测。这种模式转换对于现代汽车推进系统是特别重要的。这种系统的日益复杂性,加上在最终确定车辆概念之前评估许多选择的需要,促使HIL系统综合范例的应用作为并发工程的必要的新工具。
本文研究了HIL技术和使能器(第2部分)的发展,然后着重于这些技术和使能器实现的激动人心的应用(第3节)。特别是,本文研究HIL变态的不同方面,并探讨HIL模拟的力量作为车辆系统综合范例(第3节)。为了说明这种力量,第4节介绍了一个发动机在环(EIL)设置,集成了完全仪表化的柴油发动机与准确的实时驱动器,动力传动系统和高流动性多用途轮式车辆(HMMWV)的车辆模型一个最先进的电测力计及其控制器。然后,第5节演示了使用此设置来量化动力系瞬态对动态柴油机性能和排放的影响。该设备的国际公司制造的V8 6L柴油发动机是一种比标准HMMWV发动机显着更强大的新产品,正在考虑用于推进重型悍马型HMMWV车辆。该研究强调了EIL的保真度和真实性,通过提供对在系统级别难以模拟的瞬态烟尘排放的洞察。传动系统和车辆型号可以很容易地被不同的设计取代;因此本研究采用HIL仿真超越其传统汽车应用,如控制校准和验证,并充分利用其作为系统开发范例的全部潜力。本文最后简要讨论了HIL模拟在过去几十年的进展,以及HIL模拟在未来几年的潜在增长领域(第6节)。
- HIL模拟的主要启动器
许多关键的推动因素必须无缝地汇集在一起,以提供协同的HIL仿真设置。 图2给出了与HIL设置的主要组件(矩形)相关的一些这样的使能器(椭圆形)的简单图示。图3中的图示。 2将HIL仿真的关键推动因素分为八大类:
1.传感器和致动器的保真度,带宽和不引人注目:图1的检查表明,HIL模拟器本质上是一个控制系统,其虚拟部件命令其硬件“跟踪”一个假设的参考“系统”。 这一观察在文献中被认识到,如Frangos提出的用于分析HIL模拟器的控制理论框架10所显示的。 这种观察的一个重要结果是,HIL模拟器捕获系统的行为的能力取决于模拟器的传感器和致动器的保真度,带宽和不引人注目。 zhang和Alleyne使用线性控制理论为一类HIL模拟器提供了一个有洞察力的证据。 此外,HIL模拟文献的重要部分集中在开发精确的传感器和制动器,快速和“不引人注意”,在不改变底层硬件的动态的意义上。这种传感器和致动器的示例包括通常用于发动机在环研究中的液压测功计,因为它们的低惯性和高带宽12-15。
2.信号调理和数字信号处理(DSP):HIL设置的传感器测量必须经常进行重要的处理,然后才能进入设置的虚拟仿真。典型的处理任务包括数字信号解码,抗混叠滤波(用于模拟信号),噪声衰减等。这种信号调节任务通常由HIL接口板内的数字信号处理器单独执行,以释放主HIL微处理器用于虚拟仿真。
3.快速处理器,实时操作系统(RTOS)和固定步骤集成:由于HIL模拟器的物理和虚拟组件之间的交互是双向的,所以这些组件的时间帧完全匹配至关重要。这意味着虚拟组件必须实时运行,这对HIL模拟器的微处理器,操作员系统和集成例程提出了严格的要求。具体来说,快速微处理器和(在某些情况下甚至更快的现场可编程门阵列(FPGA))通常由HIL模拟器用于实现实时虚拟仿真6,16。此外,即使使用这种快速处理器,实时运行HIL模拟器也需要特殊类型的操作系统,其以由时钟中断发出信号的规则间隔执行积分步骤。这样的实时操作系统是HIL模拟的主要内容,并且Liu17提供了对它们的不同类型(例如,“软”对“硬”)和架构的彻底审查。最后,用于模拟HIL设置的虚拟部件的求解器应当通过确保在与其对应的“实时步骤”内的每个积分步骤的完成来实现实时仿真。如果求解器使用可变步长集成,这可能是困难的,这解释了在HIL模拟的上下文中固定步长大小集成例程的盛行。固定步长集成为混合离散/连续系统的HIL模拟器引入了一个有趣的挑战,即,这种系统的离散状态之间的转换可能在积分时间步骤期间发生。例如,汽车变速器中的离合器可以通过集成步骤中途接合。 HIL模拟文献深入讨论了这个困难,并探讨了一些可能的补救措施。
4.物理设备的先进诊断:HIL仿真作为有效系统综合范例的扩展使用关键取决于先进的实验室仪器和诊断系统。特别地,基于HIL仿真的系统合成的传感器和换能器要求通常显着超过仅仅建立功能性HIL设置的要求。 HIL仪器的类型,保真度和带宽通常由浸入在虚拟系统中的硬件的选择以及在现实动态条件下对该硬件的行为的详细洞察的需要来决定。在EIL仿真的上下文中,例如,一个好的示例是燃料喷射器针升程传感器和快速排气排放分析器。随着发动机负载和速度在驱动周期期间快速变化,这些传感器和仪器提供关于重要的发动机子系统的动态行为及其后果的基本信息。为了充分利用这样的传感器,必须选择与其数量和响应时间相称的数据采集系统,并且还必须将其与主测试单元控制器紧密地集成。
5.建模:HIL模拟器中的虚拟模型通常必须满足两个重要要求。首先,他们必须准确地捕获实际原型系统的动态,以使HIL模拟器能够实现其所需的模拟和设计目标。其次,它们必须实时运行:这个要求源于本清单第3项中所述的考虑,经常转化为模型复杂性的约束。这两个要求,保真和简单,通常是冲突。文献认识到这种冲突,并认为动态系统模型适当,如果它最佳地平衡这两个要求。本文的配套文件提供了对正确建模文献和在HIL模拟22-25中的正确建模的越来越多的使用的彻底审查。
6.多线程和多速率集成:HIL仿真中的一个常见问题是虚拟模型刚度,定义为虚拟模型的不同组件的特征速度之间的巨大差异。刚性模型可以在许多学科中找到,特别是机电一体化,其中机械和电气部件通常表现出显着不同的响应速度。正确的建模实现使用多个处理器18-20。 HIL文献深入描述了多速率集成问题,特别关注每个处理器可以用于与其他处理器同步或推断其输出的不同方法18-20。
7.高带宽网络:通过网络分发HIL模拟器的物理和虚拟组件的可能性可能相当有吸引力,有三个原因。首先,用于特定HIL模拟所需的硬件的不同部分可能不是物理并置或移动的。其次,与使用单个处理器相比,分发HIL模拟器的虚拟组件可以提供增加的虚拟仿真能力。最后,网络HIL模拟器的各种组件的能力使得可以独立地构建系统的不同组件的不同HIL模拟器,然后将它们组合成更大的系统级HIL模拟器。这可以为设计人员提供卓越的并发系统工程能力。由于这些原因,研究人员最近开始研究HIL模拟器的组件在网络上的分布。这项研究的结果是有希望的20,26,但是随着网络服务质量(QoS)的增加,在分布式HIL仿真领域可以取得显着的进一步进展。 El-Gendy et al。提供了对网络QoS研究的彻底审查,为了简洁,本文省略了其细节27。
硬件/软件集成:一个有效的HIL模拟器不仅仅包括一个硬件原型和一个虚拟模型,双向实时交互。原型和模型之间的协同也必须实现成功的HIL仿真。为了实现这样的协同作用,HIL模拟器的设计者必须密切注意诸如分割和连接因果性之类的问题。在此上下文中,分区是指将系统分解成子系统到硬件中的原型,以及其他以虚拟地使用HIL技术来模拟。在执行这样的分区时,应当通过在硬件中原型化需要直接实验观察的那些组件来寻求协同。将系统分成两个子系统进一步导致如何选择它们的连接因果关系的问题,其定义为它们之间的各种信号的流动方向。例如,在由物理发动机和虚拟车辆模型组成的发动机在环模拟器中,可以询问虚拟模型是否应该命令发动机扭矩并测量其速度,反之亦然。如将在第4节中解释的,这样的决定可以强烈地影响HIL模拟器的虚拟模型的可追踪性以及可以控制其物理组件的有效性。
上述能力可以被看作是有效HIL模拟的基本先决条件,并且作为现代HIL模拟的可行性背后的主要原因。 事实上,仔细检查HIL仿真的历史揭示了随着每个关键的使能技术的演变,HIL仿真的最先进的技术。 第3节简要回顾了HIL仿真的历史,重点介绍了它的不同应用,并突出了它从控制校准工具到系统设计范例的演变。
3.HIL模拟的应用
如第2节所述,HIL模拟器本质上是一个控制系统,其虚拟组件命令其物理组件跟踪一个假设的完全物理系统。这意味着HIL仿真和电子控制的关键促成因素是非常相似的。因此,在HIL仿真和嵌入式控制方面的进展在早期是密切相关的,并且HIL仿真的开发成果已经导致对电子控制设计的更广泛的应用。因此,HIL仿真可以是控制原型,校准和验证的优秀框架,如图1所示。 3.最近,HIL模拟的作用扩展,以响应研究浸入复杂虚拟系统的物理设备的需要。高级系统综合HIL设置包括诸如IC发动机,变速器,导弹或鱼雷的主要硬件部件,并且支持部件和完整系统的设计和验证。以下小节更详细地研究了HIL仿真概念的历史和演变。
控制原型应用:图3给出了HIL模拟如何帮助设计假想控制系统的示例,在这种情况下,用于组合的主动/被动汽车悬架。这个特定的假想HIL设置包括连接到嵌入式线性二次高斯(LQG)主动悬架控制器的简单的虚拟四分之一车悬挂模型。工厂模型捕获车辆惯性,悬架刚度,悬架阻尼,道路特性和传感器/致动器动力学。随着悬架设计的成熟,这种模型也可能成熟,捕获车辆系统的动态的更多细节。假设悬架行程和悬挂质量加速度测量,并且馈送到使用LQG控制以估计和命令虚拟悬架的状态的物理微处理器。这个假设的例子说明
剩余内容已隐藏,支付完成后下载完整资料
资料编号:[140019],资料为PDF文档或Word文档,PDF文档可免费转换为Word
