

英语原文共 9 页,剩余内容已隐藏,支付完成后下载完整资料
对一台给水加热器动力循环的换热器库存进行的成本优化
1.摘要
对一个开放式给水加热器的动力循环中进行了热交换器库存的成本优化。本文给出了一个开放式给水加热器的内可逆动力循环的热经济分析。研究表明,在开放式给水加热器的排热、加热率、功率和传热速率不变的情况下,所有的成本函数相对于高侧绝对温度比()存在一个最小值。在这种情况下,给水加热器的卡诺温度比()、绝对温度比()和相变绝对温度比()的影响在性质上是相同的。此外,不断增加热量的情况导致成本函数达到最低值。对于所有成本函数的变化,给水加热器的相变绝对温度比()的值越小,在最小值处的成本越低。随着给水加热器与热端机组成本比的降低,所需的最小总电导增加。
关键词 库存 热交换器 热经济性 最优化 给水加热器
2.前言
给水加热器,在工业上是用来提高蒸汽发电厂的效率的标准做法,因此,对这类系统的热经济分析是重要的。给水加热器可以是开式的,也可以是闭式的。当热量从蒸汽(从汽轮机中流出)通过混合传递到给水时,它被认为是开放式的。开放式的优点包括:增加热量的平均温度,使电厂的效率更高。其次,它提供了一种清除泄露到冷凝器的空气的简单方法,有利于防止锅炉腐蚀,同时,它也降低了涡轮末级的体积流量。关于更多Babcock amp; Wilcox[1]的工作工作细节可与热力学教科书一起参考,如Cengel和Boles[2]。Bejan[3,4]等作者讨论了不同情况下换热器库存分配的问题,比如效率最大化。Antar和Zubair[5]利用Bejan[4]开发的卡诺模型,研究了给定功率输出下电厂换热器库存的成本优化问题。当单位成本比率达到统一时,总库存达到最低。Sahin和Kodal[6]采用一种新的热经济优化准则,即单位总成本功率输出,对内可逆热机进行了热经济优化。分析了最佳工作流体温度、比功率输出之后,可以确定热效率和换热器面积分布的解析方程,对相对燃料成本的影响也进行了讨论。这个新标准后来也被作者用于不可逆热机[7],以利润最大化为目标函数,研究了有限时间不可逆卡诺热机的火用经济性优化问题,为此,作者推导了有关利润和效率的公式。Bandyopadhyay等[9]研究了采用不可逆卡诺式热机的联合循环电厂成本优化问题。研究发现,随着阶段数的增加,机组年成本随着发电量的下降而上升。针对联合循环燃气轮机电厂的非设计工况,Rovira等[10]对余热蒸汽发生器进行了热经济优化。从设计条件来看,与常规热经济模型相比,优化结果的差异可以忽略不计,但新模型的摊销成本和设计效率略有降低。对于联合循环电厂,遗传算法也被用于热经济优化[11-13]。利用热力学第二定律,Silveira和Tuna[14]提出了一种热经济泛函分析方法。分析了四个热电联产系统,发现仅由一个燃气轮机和余热蒸汽发生器组成的热电联产系统具有最低的燃烧生产成本。al - sulaiman等[15,16]使用有机朗肯循环对三种三联生系统进行了热经济优化。研究结果表明,在这三个系统中,太阳能三联发电系统提供了最佳的热经济性能。Abusoglu和Kanoglu[17]回顾了热电联产系统的火用经济优化和分析,对文献中发现的重要热经济学方法的优缺点进行了比较。
熊等人对采用氧燃烧的600MWe煤粉火电厂进行了热经济优化。由于氧燃烧系统的额外电力利用率,单位热经济产品成本增加了10%,而其他相关成本,如运行和维护、投资和利息,也增加了10%。Bassily[19]对采用三压再热的商业联合循环电厂进行了成本优化。我们确定,对于一个400兆瓦的发电厂来说,通过优化净收入,每年可节省约2920万美元。
Rosen和Dincer[20]对一个仅基于资本成本的燃煤发电站进行了热经济性测试。他们强调,这样做的原因是,资本成本往往是最重要的成本组成部分,而其他成本往往与之成比例。因此,我们期望质量上的一致。对于能源系统的设计和分析 Silveiraetal[21]提出了一种以生产成本为目标函数的热经济优化方法。根据所分析的能源系统,各种成本包括给定数量和类型的(火用)的运营和资本成本。Seyyedi等人[22]基于火用经济分析和结构优化方法为火电厂优化提供了一种新的途径。该方法的重要优点是适用于大型复杂热力系统,收敛速度快。考虑到基于有限时间热力学和热经济学的各种目标函数,Durmayaz等人[23]对热系统优化进行了广泛的综述。作者的结论是,因为它仍处于早期阶段,所以有限时间热经济分析在基础理论发展和应用方面还需要更多的工作。
通过文献回顾发现,对于一个给水加热器的动力循环内可逆情况,没有考虑成本优化的设计和性能评价目的。因此,本文旨在建立相应的内可逆模型,并对该系统进行热经济分析。研究了开放式给水加热器的恒加热率和废热率、功率和传热率的情况。
3.术语
|
符号 |
|
|
A |
面积() |
|
F |
无量纲成本函数 |
|
G |
单位成本传导比 |
|
K |
方程定义的无量纲量 |
|
K1 |
给水加热器与冷凝器熵变化的比率 |
|
|
质量流量 |
|
|
热传递速率 |
|
S |
比熵 |
|
T |
绝对温度 |
|
符号 |
|
|
U |
总传热系数 |
|
|
总成本 |
|
|
单位电导成本 |
|
|
卡诺温度比 |
|
|
给水加热器的相变绝对温度比 |
|
|
温度高侧绝对温度比 |
|
|
平均预热绝对温度比 |
|
|
绝对温度比 |
下标
|
符号 |
|
|
01 |
冷凝器处 |
|
02 |
给水加热器发生相变时 |
|
a |
恒定工作速率 |
|
b |
冷凝器排热速率恒定 |
|
C |
可逆的隔间 |
|
c |
锅炉中恒定的热量添加速率 |
|
d |
开式给水加热器中的恒定传热速率 |
|
H |
热端 |
|
L |
冷端 |
|
Min |
最小值 |
|
OFH |
开式给水加热器 |
|
Tot |
总和 |
4.数学框架
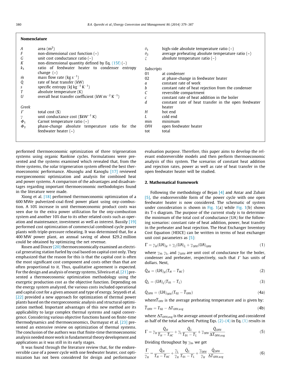
遵循Bejan[4]、Antar和Zubair[5]的方法,现在考虑一个开启的给水加热器的动力循环的内可逆形式。所考虑的系统原理图如图1(a)所示,图1(b)所示为其T-s图。本研究的目的是确定以下情况下的电导总成本(UA)的最小值:恒定的热添加率,功率,预热器的传热和热排出。换热器库存成本方程(HEICE)可以用换热器单位成本参数[5]表示:
式中分别为锅炉、冷凝器、预热器的单位电导成本,其中的单位为元。接下来
其中为平均预热温度,由:
式中为平均预热量,认为是总预热量的一半。把方程式(1)带入(2)-(4)得到
除以,我们得到
图1所示。带开放式给水加热器的内可逆功率循环:(a)原理图和(b) T—S图
令,则式(6)为
分解,我们得到
现在,从图1(b)我们可以看到
但是因为它们在给水加热器中相互交换热量。因此
从图1(b)可以看出,一般情况下,当k1可以是任何小于1的数。现在,式(10)变为
将克劳修斯不等式应用于内部可逆循环得到
结合方程式。(11) (12a) (12b)得到
把方程式。(12b)和(13)代入式(8)中,方程右边除以TH/TH,
引入以下无因次量:
把方程式。(15a), (15b), (15c), (15d), (15e), (15f)代入式(14),两边同时乘以,得到
从式(16)开始,下一节讨论以下场景:在开放式给水加热器中,恒功率、加热和排热能力以及传热速率。
5.结果与讨论
在这些情况下,单位成本电导比被认为是统一的,预计无量纲HEICE的最小化将导致总电导(UAtot)相同。
5.1恒功率
将式(16)除以幂得到的无量纲方程为:
由图1(a)利用热力学第一定律,我们得到
其中W是泵消耗的总功率。两边同时除以得到
将式(12)代入式(19)得到
上面方程的倒数为
结合方程式(15c)和(20b)代入式(17)得到
式(21)为在恒定功率输出情况下,带一个开放式给水加热器的内可逆功率循环的无因次HEICE。我们看到和之间有直接的关系,与成反比,因此,这些参数不表现出最小值。对于和是否存在最小值还不清楚。确定对的导数,然后使其等于0,得到:
图2(a)为的不同值下,对的成本函数曲线图。可以发现,随着的增加,的最小值和成本都增加。成本增加的原因可以从式(21)中看出,只出现在括号内的第二项中。随着的增加,这一项的值也会增加,因此也会增加。对于最小值(它提供了最小的成本),由式(22b)可知,这是由于与成正比。此
剩余内容已隐藏,支付完成后下载完整资料
资料编号:[257582],资料为PDF文档或Word文档,PDF文档可免费转换为Word
