

英语原文共 5 页,剩余内容已隐藏,支付完成后下载完整资料
卡方分布
By EDWIN B. WILSON AND MARGARET M. HILFERTY
哈佛大学公共卫生学院生命统计学系
1931年11月6日
- A.Fisher给出了x2的表,并指出对于n的大值,分布的自由度,是的正态分布。
有意思的是,当一个定积分的被积函数在极限处消失并且只有一个最大值时,有时可以通过将的最大值展开来找到一个对积分值有用的近似值,写作:
假设展开中的高阶项对积分的贡献很小,且极限a和b与最大的距离足够远,因此积分可以被视为一个完全概率积分。
这种方法通常应用于伽玛函数
其中 然后
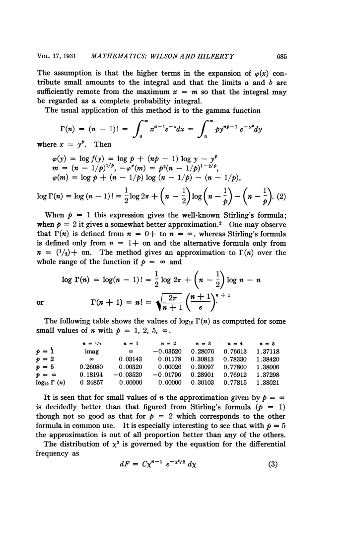
当p=1时,这个表达式给出了众所周知的斯特林公式;当p=2时,它给出了一个更好的近似值。可以观察到是从而斯特林公式仅从开始定义替代公式仅从开始定义。如果则该方法在函数的整个范围内近似于并且
下表显示了一些对的一些小数值n计算的值
|
n = 1/2 |
n = 1 |
n· = 2 |
n = 3 |
n = 4 |
n = 5 |
|
|
p=1 |
虚数 |
|
-0.03520 |
0.28076 |
0.76613 |
1.37118 |
|
P=2 |
|
0.03143 |
0.01178 |
0.30813 |
0.78330 |
1.38420 |
|
P=5 |
0.26080 |
0.00320 |
0.00026 |
0.30097 |
0.77800 |
1.38006 |
|
P= |
0.18194 |
-0.03520 |
-0.01796 |
0.28901 |
0.76912 |
1.37298 |
|
|
0.24857 |
0.00000 |
0.00000 |
0.30103 |
0.77815 |
1.38021 |
可以看出,对于较小的n值,给出的近似值明显优于从斯特林公式(p=1)得出的近似值,但不如p=2给出的近似值,后者对应于常用的另一个公式。特别有趣的是,当p=5时,近似值比其他任何一个都好。分布由微分频率方程控制,例如
其中,C的调整使得从0到的积分为1。除了乘子外,完全积分的近似值如此之好的可能性表明,可以用类似的方法得到分布。
其中
最大值在
问题是是否可以看作是一个正态变量,分布在平均值m上,指示值为。
为了得到类似于费希尔公式的公式,应让p=2,并将平均值和标准偏差乘以2。我们应该
有
关于平均值其中
计算结果表明 这个结果不如他的结果。如果取p=3分析表明
约其中
约其中
如表1所示,结果在某些部分优于Fisher公式,而在其他部分则较差。p值不超过3的大
量试验表明没有显著性的改善。
还有一种解决办法可以写出
二项式定理的展开是根据e的幂或e/n的有效幂展开的,e的平均值为零,的平均值是关于其平均值n的第二个矩,等于2n,的平均值是关于其平均值的第k个矩,这些矩可能都是用(3)乘的积分得到函数,代数很长,但很简单,最后的结果在n中是有理的。因此的平均值可以作出
从这个表达式和最初的展开式,可以得到的矩,它是
2nd moment=
3nd moment=
从这些结果看来,如果p=3,第三阶矩消失到阶,第二阶矩中的阶项也消失。这表明,在相当大的近似程度上,随着n的增加,我们可以假设
是关于的正态分布其中
有趣的是,将此结果与的表格值以及使用Fisher给出的(1)或(4)通过不同方法获得的结果进行比较。比较见表1。
表格1
的值
用公式(5),(1),(4)给出的真实值标记为T
|
II |
P = 0.80 |
P - 0.50 |
P - 0.20 |
P = 0.05 |
P - 0.01 |
||
|
T |
0.0642 |
0.455 |
1.642 |
3.841 |
6.635 |
||
|
1 |
(5) |
0.0553 |
0.470 |
1.618 |
3.747 |
6.586 |
|
|
(1) |
0.0125 |
0.500 |
1.696 |
3.498 |
5.532 |
||
|
(4) |
0.0102 |
0.333 |
1.600 |
4.287 |
8.119 |
||
|
T |
0.446 |
1.386 |
3.219 |
5.991 |
9.210 |
||
|
2 |
(5) |
0.450 |
1.405 |
3.195 |
5.936 |
9.220 |
|
|
(1) |
0.396 |
1.500 |
3.312 |
5.702 |
8.235 |
||
|
(4) |
0.378 |
1.333 |
3.232 |
6.222 |
9.869 |
||
|
T |
1.005 |
2.366 |
4.642 |
7.815 |
11.341 |
||
|
3 |
(5) |
1.015 |
2.381 |
4.622 |
7.775 |
11.370 |
|
|
(1) |
0.972 |
2.500 |
4.736 |
7.531 |
10.171 |
||
|
(4) |
0.946 |
2.333 |
4.664 |
7.995 |
11.826 |
||
|
T |
6.179 |
9.342 |
13.442 |
18.307 |
23.209 |
||
|
10 |
(5) |
6.191 |
9.349 |
13.419 |
18.298 |
23.246 |
|
|
(1) |
6.186 |
9.500 |
13.523 |
18.023 |
22.346 |
||
|
(4) |
6.155 |
9.333 |
13.451 |
18.372 |
23.381 |
||
|
T |
23.364 |
29.336 |
36.250 |
43.773 |
50.892 |
||
|
30 |
(5) |
23.376 |
29.340 |
36.237 |
43.770 |
50.913 |
|
|
(1) |
23..380 |
29.500 |
36.318 |
43.487 |
50.074 |
||
|
(4) |
20.984 |
29.333 |
36.258 |
43.815 |
50.986 |
表1显示,从差分(3rsquo;)得到的分布(4)在某些地方似乎比(1)好,在其他地方则更差;因为它不是那么简单,所以应该拒绝。另一方面,在表的大多数部分中,通过展开得到
剩余内容已隐藏,支付完成后下载完整资料
资料编号:[255201],资料为PDF文档或Word文档,PDF文档可免费转换为Word
