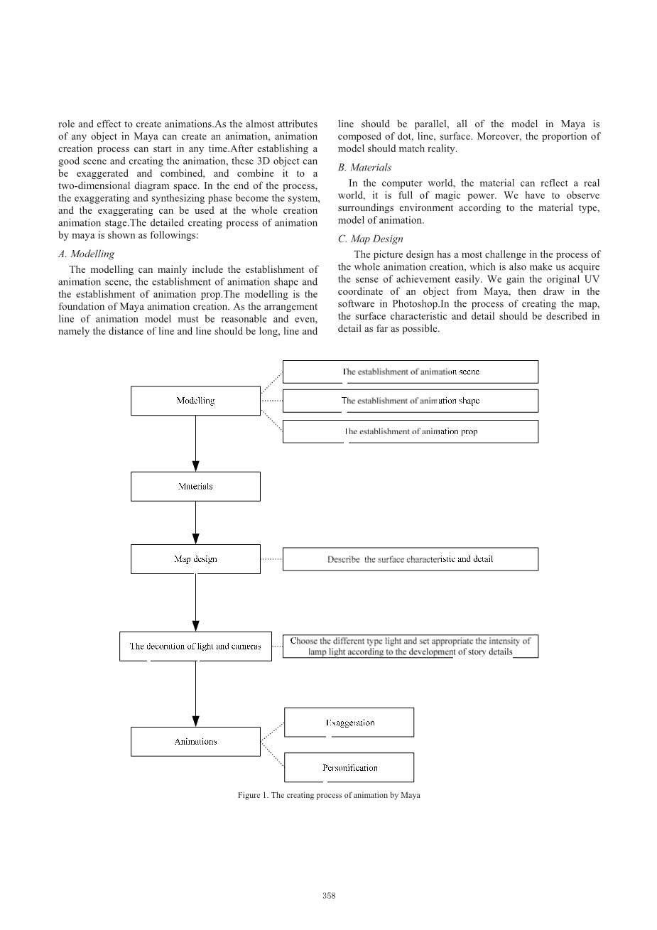
三维动画《源计划》分镜台本、角色设计及后期合成外文翻译资料 2021-12-22 22:28:44 英语原文共 4 页 英语原文共 4 页资料编号:[3920] 原文和译文剩余内容已隐藏,您需要先支付 30元 才能查看原文和译文全部内容!立即支付 发小红书推广免费获取该资料资格。点击链接进入获取推广文案即可: Ai一键组稿 | 降AI率 | 降重复率 | 论文一键排版 PREVIOUS NEXT 您可能感兴趣的文章 日本艺术和动画卡通外文翻译资料 波普艺术:“唯物之神”的崇拜外文翻译资料 Untiy3D 动画系统外文翻译资料 妖魔化的儿童电视动画片和迪斯尼动画电影外文翻译资料 自动照片弹出外文翻译资料 插画,文字,和儿童读者:儿童故事书的图片是什么?外文翻译资料 动态漫画:通过镜头移动动画外文翻译资料 在三维动画中的美学和设计外文翻译资料 定格动画技术–一个最有用的实验动画的技术研究外文翻译资料 黏土动画场景设计的艺术性塑造分析外文翻译资料