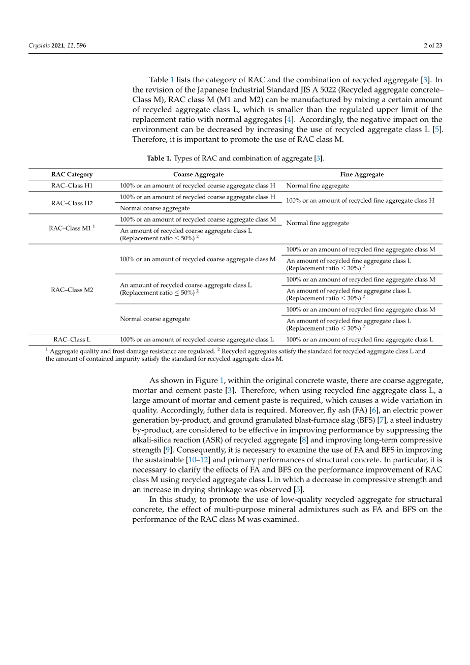
矿物掺合料对低质量再生骨料混凝土的影响外文翻译资料 2023-04-10 18:04:32 英语原文共 23 页,剩余内容已隐藏,支付完成后下载完整资料 英语译文共 22 页,剩余内容已隐藏,支付完成后下载完整资料 资料编号:[590170],资料为PDF文档或Word文档,PDF文档可免费转换为Word 原文和译文剩余内容已隐藏,您需要先支付 30元 才能查看原文和译文全部内容!立即支付 发小红书推广免费获取该资料资格。点击链接进入获取推广文案即可: Ai一键组稿 | 降AI率 | 降重复率 | 论文一键排版 PREVIOUS NEXT 您可能感兴趣的文章 纤维截面单元预应力空心混凝土(PHC)桩抗震性能研究的数值模型外文翻译资料 预拌混凝土质量评估中的实验室间比较试验外文翻译资料 矿渣水泥预拌混凝土性能研究外文翻译资料 低水泥含量矿渣桩的特性外文翻译资料 将混凝土废浆作为补充水泥材料的回收方法:选定元素的表征、应用和浸出外文翻译资料 预应力混凝土结构中的尺度效应:避免脆性破坏的最大配筋率外文翻译资料 利用再生粗骨料和机制砂增强混凝土性能的技术外文翻译资料 丁苯橡胶胶乳改性再生骨料透水混凝土研究外文翻译资料 沥青混凝土混合料永久变形预测的综合研究外文翻译资料 矿物掺合料对低质量再生骨料混凝土的影响外文翻译资料