

英语原文共 12 页,剩余内容已隐藏,支付完成后下载完整资料
添加TiO2对溶胶-凝胶法制备Li2O-Al2O3-4SiO2前体粉末结晶的影响
Shaw-Bing Wen
中华人民共和国台湾台南市大学路1号国立成功大学资源工程系,邮编:70101
Nan-Chung Wu and Sheng Yang
中华人民共和国台湾台南市大学路1号国立成功大学材料科学与工程系,邮编:70101
Moo-Chin Wang
中华人民共和国高雄市建公路415号国立高雄工学院机械工程系,邮编:80782
(1999年3月14日收到; 1999年5月28日接受)
采用等温和非等温方法研究了溶胶-凝胶法制备的Li2O-Al2O3-4SiO2(LAS)前体粉末中beta;-锂辉石的结晶活化能。采用差热分析(DTA)和定量X射线衍射(XRD)分析对LAS前体粉末体系的非等温动力学进行了研究。随着TiO2含量的增加,LAS前体粉末的结晶速率降低。对于添加0 wt%,5.0 wt%和10.0 wt%TiO2的样品,通过DTA评估的结晶活化能分别为165.06 kJ/mol,194.46 kJ/mol和205.38kJ/mol。根据定量X射线衍射分析方法,Johnson Mehl-Avrami方程计算的值分别为162.54kJ/mol,189.42 kJ/mol和196.14kJ/mol。采用等温和非等温动力学方法,通过差热分析和定量X射线衍射分析得到的结果与实验值吻合较好。对于添加0 wt%,5.0 wt%和10.0 wt%的TiO2的LAS前体粉末,其生长形态参数分别为0.59,0.70和0.76,显示出棒状生长。在LAS前体粉末体系中,TiO2不起成核剂的作用。
Ⅰ 介绍
含有beta;-锂辉石(Li2O-Al2O3-4SiO2,LAS)结晶相的微晶玻璃用于炉灶面板,炉灶窗,炊具和一些精密部件。beta;-锂辉石具有四方正二硅烷晶体结构,是单轴正极的。beta;-锂辉石的一个共同特征是各向异性热膨胀。beta;-锂辉石c轴的热膨胀在25到1200°C之间几乎是线性的,beta;-锂辉石a轴的热膨胀曲线在25到1200°C之间几乎是抛物线形的。
通常,微晶玻璃通过传统的成型技术制造,例如吹制,压制或铸造,然后成核和结晶。微晶玻璃也可以通过烧结和结晶玻璃粉来生产。这使得使用各种陶瓷成型技术降低加工温度和制造复杂的形状成为可能,例如干压,粉浆浇铸,丝锥浇铸,挤压和注塑成型。
一些工人试图用锂辉石玻璃粉烧结beta;-锂辉石微晶玻璃。结果表明,化学计量的锂辉石玻璃不能很好的烧结,需要加入少量B2O3和/或P2O5去结晶成beta;-锂辉石微晶玻璃。除非使用醇盐衍生的试剂,否则在没有适当的烧结剂的情况下烧结和结晶beta;-锂辉石玻璃粉末并不容易。由于存在有害和不必要的微小相,烧结剂的掺入导致大的热膨胀。 因此,为了降低烧结温度并获得合适的相,需要制备均匀的精细beta;-锂辉石前体粉末。
研究玻璃和凝胶的结晶动力学对于制备微晶玻璃是有意义的。差热分析(DTA),差示扫描量热(DSC)和X射线衍射(XRD)技术已被广泛用于研究玻璃的失透性。一些从差热分析和差示扫描量热曲线和X射线衍射图谱中获得动力学数据的方法被提出。
本文采用差热分析(DTA),X射线衍射(XRD)和透射电子显微镜(TEM)研究了添加TiO2对Li2O-Al2O3-4SiO2前体粉末中beta;-锂辉石结晶动力学的影响。
Ⅱ 实验程序
- 凝胶制备
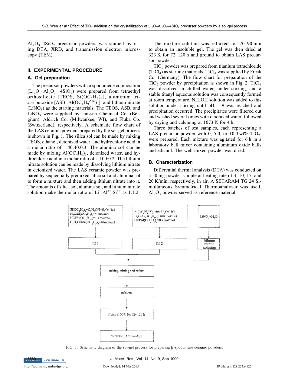
具有锂辉石组合物的前体粉末(Li2O-Al2O3-4SiO2)由正硅酸乙酯[TEOS,Si(OC2H5)4],仲丁醇铝[ASB, Al(OC4H9AlC)3]和硝酸锂(LiNO3)作为起始原料。TEOS,ASB和LiNO3分别由Janssen Chemical Co.(比利时),Aldrich Co.(密尔沃基,威斯康星州)和Fluka Co.(瑞士)提供。通过溶胶-凝胶法制备LAS陶瓷粉末的示意流程图如图1所示。硅溶胶可以通过混合TEOS,乙醇,去离子水和盐酸来制备,摩尔比为1:40:40:0.3。氧化铝溶胶可以通过混合仲丁醇铝,去离子水和盐酸来制备,摩尔比为1:100:0.2。硝酸锂溶液可以通过在去离子水中溶解硝酸锂来制备。以二氧化硅溶胶和氧化铝溶胶为原料,经连续预混合,再加入硝酸锂,制备了LAS陶瓷粉末。二氧化硅溶胶,氧化铝溶胶和硝酸锂溶液的量使Li :Al3 :Si4 的摩尔比为1:1:2。
将混合物溶液回流70-90分钟,得到不溶性凝胶。 然后将凝胶在323K下干燥72-120小时并研磨以获得LAS前体粉末。
以四氯化钛(TiCl4)为原料制备TiO2粉末。TiCl4由Freak Co.(德国)提供。 通过沉淀制备TiO2粉末的流程图示于图2.在搅拌下将TiCl4溶解在冷水中,由此形成稳定的钛氧基水溶液。在室温下,边搅拌边向该溶液中加入NH4OH溶液直至达到pH=9并发生沉淀,滤出沉淀物并用去离子水洗涤数次,然后在1073K下干燥和煅烧4小时。
制备三批测试样品,测试样品分别代表含有0 wt%,5.0 wt%或10.0wt%TiO2的LAS前体粉末。在含有氧化铝球和乙醇的实验室球形混合器中将每种混合物搅拌6小时,然后将充分混合的粉末干燥。
溶胶2
溶胶1
LiNO3 H2O
Al(OC4H9AlC)3 hot H20 HCl
H20/Al(OC4H9AlC)3=100 mol/mol
HCl/ Al(OC4H9AlC)3=0.2 mol/mol
硝酸锂溶液
混合,搅拌和回流
Si(OC2H5)4 C2H50H H20 HCl
H20/Si(OC2H5)4=40mol/mol
HCl/Si(OC2H5)4=0.3mol/mol
C2H50H/Si(OC2H5)4=40 mol/mol
凝胶化
50度烘干72-120h
LAS前体粉末
图1.制备beta;-锂辉石陶瓷粉末的溶胶-凝胶法的示意图
图2.用湿法干燥法制备TiO2陶瓷粉末的示意图
Ticl4 热水
钛氧基水溶液
沉淀
过滤
冲洗
干燥
煅烧
TiO2
搅拌
滴定
Ph=9
- 描述
在空气中分别以3K / min,10K / min,15K / min和20K / min的加热速率对50mg粉末样品进行差热分析(DTA)。 采用SETARAM tg24型同步对称热分析仪。参比物质是Al2O3粉末。
通过X射线衍射(XRD)和ED分析鉴定结晶相。X射线衍射分析使用Rigaku X射线衍射仪,使用CuKalpha;辐射和Ni过滤器进行。扫描速率固定在0.25°(2u)/ min。透射电镜采用JEM200显微镜,在200kv下工作。对煅烧粉末进行选区电子衍射检测。
Ⅲ 结果和讨论
在3K / min的加热速率下,煅烧具有不同TiO2含量的LAS前体粉末获得的典型DTA曲线显示在图3中。这些前体粉末显示出单一结晶峰,这归因于beta;-锂辉石的结晶。可以看出,对于分别具有0 wt%,5.0 wt%和10.0 wt%TiO2的批次,TiO2的添加逐渐提高放热峰的温度,如903 K,930 K和940 K。这一发现非常重要,因为TiO2的添加似乎不会促进beta;-锂辉石的结晶。根据Ray等人的报道,玻璃中原子核的增加导致DTA峰值温度降低,其在形成最大核数的温度下达到最小值。在这项研究中,添加TiO2到LAS前体粉末不会增加成核位点,因此它不能降低beta;-锂辉石相的形成温度。
图3.分别含有0 wt%,5.0 wt%和10.0 wt%的TiO2的LAS前体粉末的DTA曲线,加热速率为3K / min
不同加热速率下含有不同TiO2含量的LAS前体粉末的放热峰温度(Tp,h)如图4所示。可以看出,随着加热速率的增加,对于具有相同的TiO2含量的LAS前体粉末,Tp,h位置转移到更高的温度。
LAS前体粉末的结晶是将不规则的点状框架结构重新排列成生长晶体的周期晶格。采用DTA分析方法对不同TiO2含量的LAS前体粉末在不同升温速率下的结晶动力学进行了评价,升温速率h为3 ~ 20k /min。无论加热速率h如何变化,结晶度a在DTA峰值温度Tp,h达到相同的特定值。因此,可以推导出以下等式:
ln h=-Ec/RTp,h C (1)
这里,Ec是beta;-锂辉石晶体生长的活化能,R表示气体常数,C是常数。
在ln h对1/Tp,h的图中,获得了如图5所示的直线。由斜率可以计算出LAS前体粉末的表观活化能,分别含有0 wt%,5.0 wt%和10.0 wt% TiO2的前体粉末的表观活化能如表1所示。根据Wang的报告,TiO2含量为0 ~ 8.0 wt%时,活化能为383 ~ 775 kJ/mol。这表明,对于溶胶-凝胶和玻璃路线,活化能都随着TiO2含量的增加而增加。
图4.不同升温速率下,含有不同TiO2含量的LAS前体粉末的DTA曲线的最高放热峰值温度(Tp,h)
图5. ln h对1/Tp,h的图,h:(a)0 wt%,(b)5.0 wt%,(c)10.0 wt%
图6显示了LAS前体粉末的X射线衍射(XRD)图案,其中5 wt%TiO2在不同温度下煅烧5小时。XRD图案代表beta;-锂辉石和金红石;其他阶段无法确定。还可以看出,beta;-锂辉石相的结晶度随着煅烧温度的升高而提高。
表I.不同TiO2含量的LAS前体粉末的活化能的值。这个活化能通过不同的方法获得
|
性能 |
||||
|
活化能(kJ/mol) |
||||
|
TiO2含量(wt%) |
DTA |
JMA方程 |
一般形式的JMA方程 |
活化能平均值(kJ/mol) |
|
0 |
165.06 |
160.86 |
162.54 |
162.96 plusmn; 2.10 |
|
5.0 |
194.46 |
lt;
全文共14899字,剩余内容已隐藏,支付完成后下载完整资料 资料编号:[1214] |
||
