

英语原文共 5 页,剩余内容已隐藏,支付完成后下载完整资料
基于STM32的智能指纹锁
|
杨博康 自动化系 武汉理工大学 中国武汉yangbokang@whut.edu.cn |
夏慧文 自动化系 武汉理工大学 中国武汉wendyxia@whut.edu.cn |
王迪杜 自动化系 武汉理工大学 中国武汉 289905@whut.edu.cn |
本文研究了一种基于STM32的智能指纹锁系统。将指纹识别技术与传统的密码输入法相结合,实现了对用户的身份识别,具有较高的安全性。系统由单片机控制模块、指纹识别模块、电磁锁模块、用户交互模块和电源部分组成。这些系统相互配合,实现了准确的指纹识别和解锁等一系列功能。程序方面,采用C语言进行模块化编程,便于调试、维护和升级。经过实际测试,该系统识别率高,响应速度快,能够适应各种使用环境,具有广阔的市场前景。
关键词 - 指纹识别;嵌入式系统;智能门锁; STM32
一、简介
随着各种智能家居和短租行业的兴起,各种智能门锁因其解锁方式多样、钥匙分配方便而受到人们的青睐。智能门锁有多种解锁方法,包括密码、指纹和NFC卡。这些丰富的解锁方法可以帮助短期房东为房客设置短期指纹或密码,避免传统钥匙被复制的风险。同时,随着智能手机用户的不断发展,智能手机也可以作为钥匙使用,非常方便。[1][2][3]
本系统的设计结合实际情况,采用嵌入式系统设计。系统采用单片机控制。通过指纹识别模块实现用户的指纹采集,通过串口屏幕实现系统状态显示和用户相关交互。电磁开关用于控制门锁。与传统门锁相比,它更安全,更方便用户[4]。
二.系统功能设计
根据市场需求,系统需要完成解锁锁定、指纹识别等功能识别、指纹添加和删除、用户交互等。
A.指纹识别功能
指纹识别模块将采集到的用户指纹数据与存储的指纹数据进行比较,接收到信息后将比较结果发送给STM32单片机进行进一步处理。
B.指纹添加和删除功能
通过串口屏幕输入管理员密码,单片机完成相应的判断功能。如果密码输入正确,将进入管理员模式。根据用户的需要,单片机向指纹模块发送相应的指令,指纹模块可以添加或删除指纹。
C.解锁和锁定功能
当指纹识别正常时,单片机向电磁开关发出指令,实现相应的解锁或锁定功能。
D.紧急报警功能
当多次密码输入错误或多次指纹识别错误时,蜂鸣器会同时向上位机发出报警声,进一步提高智能锁的安全性。
E.用户交互功能
当系统进入管理员模式时,可以在后台查看用户进出次数、时间等数据。
三、 系统硬件设计
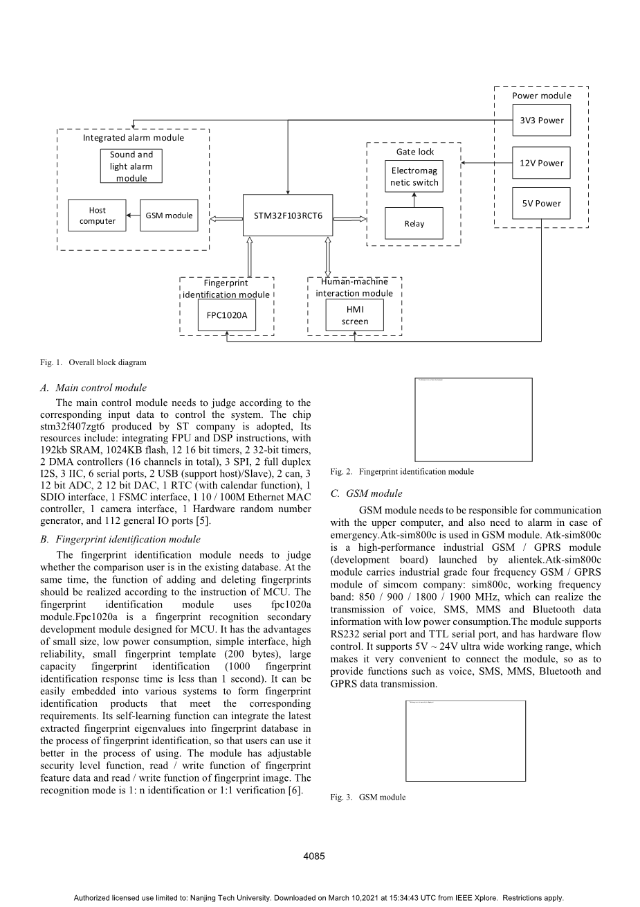
系统的硬件结构由STM32主控模块、指纹识别模块、串口屏蔽模块、GSM模块、电源模块等组成,这些模块相互配合,使系统运行高效。总体框图如下:
图一 总体框图
A.主控制模块
主控模块需要根据相应的输入数据进行判断来控制系统。采用ST公司生产的stm32f407zgt6芯片,其资源包括:集成FPU和DSP指令,具有192kb SRAM、1024KB闪存、12个16位定时器、2个32位定时器、2个DMA控制器(共16路)、3个SPI、2个全双工I2S、3个IIC、6个串口、2个USB(支持主机/从机)、2个can、3个12位ADC、2个12位DAC,1个RTC(带日历功能)、1个SDIO接口、1个FSMC接口、1个10/100M以太网MAC控制器、1个摄像头接口、1个硬件随机数发生器、112个通用IO端口[5]。
B.指纹识别模块
指纹识别模块需要判断比较用户是否在现有数据库中。同时,根据单片机的指令实现指纹的添加和删除功能。指纹识别模块采用fpc1020a模块Fpc1020a是一个针对单片机设计的指纹识别二次开发模块。它具有体积小、功耗低、接口简单、可靠性高、指纹模板小(200字节)、指纹识别容量大(1000个指纹识别响应时间小于1秒)等优点。它可以方便地嵌入到各种系统中,形成满足相应要求的指纹识别产品。它的自学习功能可以在指纹识别过程中将最新提取的指纹特征值集成到指纹数据库中,以便用户在使用过程中更好地使用。该模块具有可调安全级别功能、指纹特征数据读写功能和指纹图像读写功能。识别模式为1:n识别或1:1验证[6]。
C.GSM模块
GSM模块需要负责与上位机的通信,如有报警紧急情况。Atk-GSM模块采用sim800c。Atk-sim800c是由阿伦特克亚克-sim800c模块承载simcom公司工业级四频GSM/GPRS模块:sim800c,工作频段:850/900/1800/1900 MHz,实现语音、短信的传输,低功耗彩信和蓝牙数据信息消费模块支持RS232串口和TTL串口,并具有硬件流量控制。支持5V~24V超宽工作范围,便于模块连接,提供语音、短信、彩信、蓝牙、GPRS数据传输等功能。
D.用户交互模块
用户交互模块负责除指纹外的所有输入模式。同时,该模块还负责相应用户数据的反馈和系统状态的实时更新时间到了本工程人机交互方案采用HMI串口屏。HMI串口屏可以通过串口与单片机进行通信,调试数据和通信数据可以通过UI界面反映在串口屏上设计。和串口屏幕具有良好的人机交互模式,通过串口屏幕的屏幕控制,可以实现对单片机的简单控制,具有优越的用户友好性。
E.磁锁模块
电磁锁是整个系统的关键,电磁锁在很大程度上决定了系统的安全性电磁模块锁模块由继电器和电磁阀两部分组成开关。开关继电器采用1路5V继电器,可由单片机直接驱动,可控制大功率电器很方便。这个电磁开关采用eml1-3a模块,采用DC12V电源。通电后,锁舌立即缩回,反应灵敏。[7]
四、 硬件电路设计
为了提高系统的稳定性,系统的硬件电路不仅要考虑不同信号之间的相互干扰,还要考虑不同模块的供电
A.指纹识别模块的电路设计
FPC1020A指纹识别模块的VCC引脚连接到电源正极,电压为3.3V,FPC1020A通过UART串口与单片机连接。单片机与它的连接方式见表1。
表一 FPC1020A和STM32F407ZGT6的布线模式
|
STM32F407ZGT6 |
FPC1020A |
|
PA9 PA10 |
UART_RX UART_TX |
B.GSM模块电路设计
GSM模块利用串口与stm32f407zgt6微处理器进行通信。GSM模块的Vin引脚与电源正极相连,采用5V电源供电。UART引脚与微处理器之间的接线方式如表2所示。
表二 GSM模块和STM32F407ZGT6的接线方式
|
STM32F407ZGT6 |
GSM模块 |
|
PA2 PA3 |
UART_RX UART_TX |
C.人机交互模块的电路设计
HMI串口屏采用2线串口方式,通过VCC向串口屏供电,采用5V电源。串口屏Rx、TX与微处理器的连接方式如表3所示。
表三 HMI屏幕和STM32F407ZGT6的接线方式
|
STM32F407ZGT6 |
HMI画面 |
|
PB10 PB11 |
UART_RX UART_TX |
D.电磁锁模块电路设计
在电磁锁模块中,继电器的DC 正极与电源的VCC相连,采用5V电源。继电器in引脚接stm32f407zgt6z的PA11,电磁锁正极接继电器公共端口com,负极接GND。继电器no引脚接12V电源。
五、系统软件设计
该系统的软件思想是根据用户的指纹数据判断用户是否被授权进入,并根据用户的指纹数据扩展其他一些功能这个。进来为了便于以后的升级,系统采用模块化编程,不同功能的程序分别调试,完成所有功能后进行综合调试可行的指纹识别功能在系统中运行,其余功能以中断方式运行。[9]
A.指纹识别程序设计
在智能锁中,指纹识别是重中之重,因此指纹识别功能需要实时运行,以实现对指纹信息的实时采集。确保开门不耽误,改善用户体验。
B.管理员模式SURJUDPPLQJ
管理员模式用于实现管理员对系统的控制。在这种模式下,管理员可以进行一系列的功能,包括指纹的添加和删除,用户在家的时间,指纹的有效性设置等。为确保安全性,此模式需要单独的管理员密码才能输入。
图二 指纹识别流程图 图三 管理员模式流程图
六、 实验分析
为了验证系统和算法的可靠性以及阈值的合理性,对系统进行了实验检测。在实验中,选择了多种指纹进行测量,包括干净的手指、油腻的手指、沾水的手指等。
表四 不同类型指纹的识别率
|
指纹类型 |
实验数量 |
识别时间 |
识别率 |
|
清洁手指 油腻的手指 潮湿的手指 |
30 30 30 |
29 6 15 |
96.7% 20% 50% |
可以看出,对于干净指纹,识别率高,但油水指纹识别效果不好,后期可提高。
七.摘要
本文研究了一种基于STM32的智能指纹锁。通过实验,该系统在指纹清晰的情况下具有较高的准确率。同时,管理员模式可以自由控制每个指纹的故障,非常方便。通过将报警信息传输到上位机,实现了系统的实时监控和报警,提高了系统的安全性。
参考
- Wang Jisheng. Fingerprint image detail feature adaptive enhancement recognition algorithm in embedded system [J]. Microelectronics and computer, 2017,34 (07): 141-144
- Mo Pei, Yin Haotian, Zhu Yuqi, Yang Feijun, Xue Yuan. Intelligent lock based on STM32 MCU [J]. Electronic test, 2020 (13): 17-19
- Yuan Wei, Yang Guoshi, wu long, Dai Wenjun, Zhang Bao. Design of automatic door device based on STM32 high end fingerprint lock [J]. Journal of Xiamp;apos;an University of Arts and Science (NATURAL SCIENCE EDITION), 2020,23 (02): 30-34
- Luo Bowei. Design of fingerprint password lock based on single chip microcomputer [J]. Integrated circuit application, 2020,37 (04): 41-43
- Wang Binbin. Design and implementation of fingerprint lock control system based on STM32 [D]. Northwest Normal University, 2018
-
Tan Hong. Innovative research and development of intelligent fingerprint password lock [J]. In
剩余内容已隐藏,支付完成后下载完整资料
资料编号:[258282],资料为PDF文档或Word文档,PDF文档可免费转换为Word
