

英语原文共 8 页,剩余内容已隐藏,支付完成后下载完整资料
译文
污水处理厂典型节能技术分析
张群力,孙冬汉,王明霜,朝晖贤
摘要:污水中含有大量的低品位废热能,污泥中含有丰富的有机物。 通过充分利用这些资源中的能源来补充或抵消污水处理过程中消耗的能源,污水处理厂可以显着减少二氧化碳间接排放量。碳的排放可以实现污水处理厂的“中立”。 使用污水热能的污水源热泵可以供应在建筑物中冷却和加热; 污泥厌氧消化过程可产生大量的沼气发电;光伏发电模块可以补偿污水处理厂的热量和电力消耗。 通过比较分析三种技术在节能,经济可行性和碳中性方面的差异,研究结果表明,最佳的处理方法是SSHP技术,它利用低温废热能有节能潜力,有助于实现污水处理厂的“碳中和”。
1、介绍
城市污水处理厂的特点是能耗高,污水处理需要消耗大量的能源,试剂等资源。 中国污水处理的单位能耗仍然相当于上世纪90年代甚至更早的发达国家的能源消耗。 中国最近的年度污水处理能耗约为100times;108 kWbull;h。 污水处理厂的平均水处理能耗约为0.29 kWbull;h / m\。 但是,美国的污水处理工厂在1999年的平均功耗为0.20 kWbull;h / m\。 在提高污水处理普及率和处理程度的背景下,污水处理方式能耗高,不仅提高了污水处理厂的运行成本,间接增加了二氧化碳温室气体排放。 因此减少污水处理厂碳排放具有重要意义。
可持续污水处理技术的概念起源于20世纪90年代,21世纪初欧美研究人员提出,2030年城市污水处理厂需要实现“碳中和”作业目标\。 城市污水处理厂不仅是污水处理过程的载体,而且还是污水热源,污泥资源富集区。 城市污水处理厂充分利用SSHP技术,SADT和PPG来抵消污水处理所消耗的能源,是实现污水处理厂“碳中和”运行的有效途径。 本文对污水处理厂三种典型节能技术进行了比较分析。 这三种节能技术在节能,经济和“碳中和”等方面的差异进行了比较。
- 污水处理厂典型的节能技术
SSHP系统加热负载,kW;
SSHP系统加热效率比(COP),本文取3.5;
来自污水的热负荷kW;
污水源热泵系统的供热面积m;
建筑热负荷指标,本文取40 W / m。
相当于一次能源(转换为标准煤)的SSHP系统能耗,t;
电网效率取0.92;
电厂效率,取0.33;
加热时间满负荷下的加热负荷设计,h。
燃煤锅炉散热量(换算为标准煤)t;
燃煤锅炉的加热效率,取0.65;
供热网的供热效率为0.80。
一次能源消费差额(换算为标准煤)t。
Qw F
q Ehp eta;1 eta;2 tau; Eb eta;3 eta;4
△E2
Qg
命名法
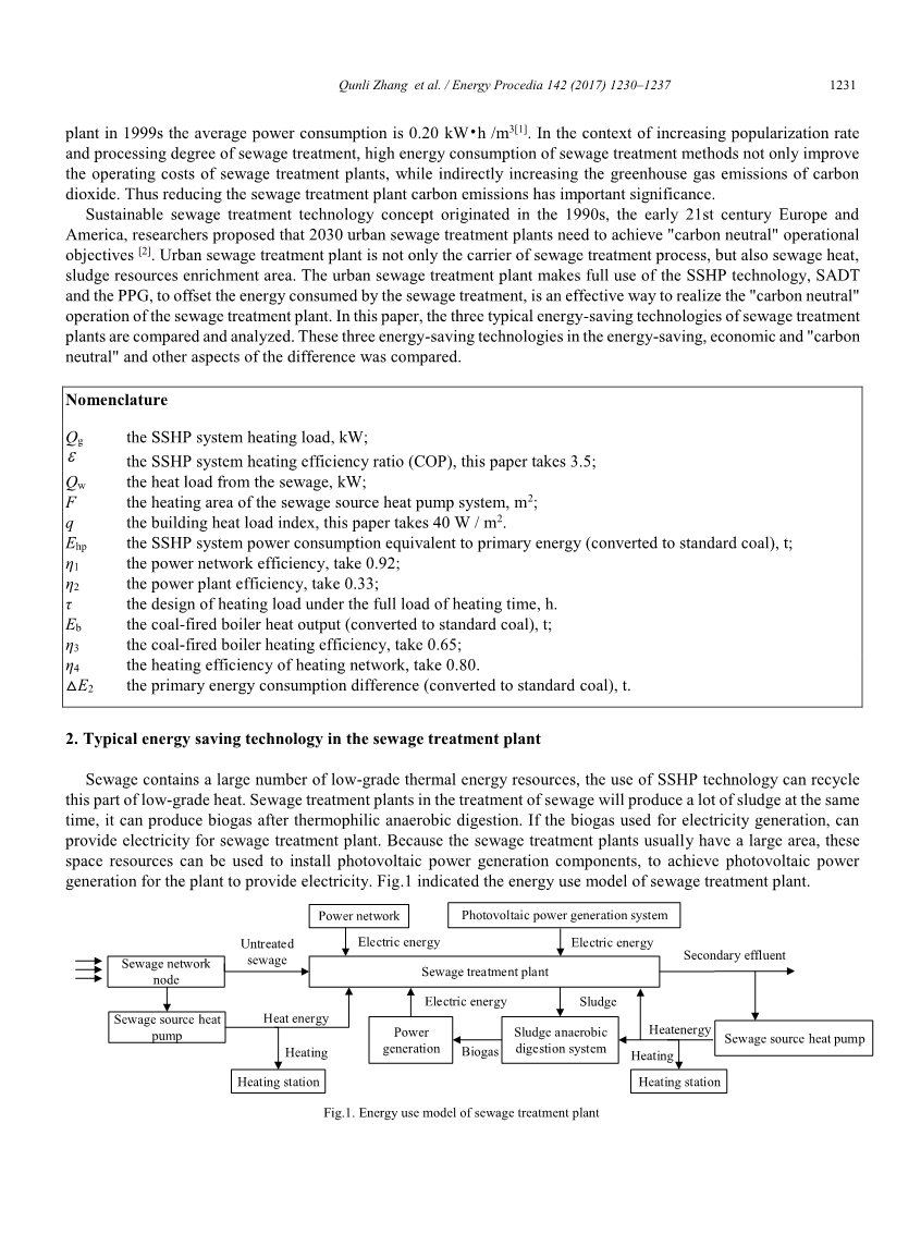
污水中含有大量的低品位热能资源,采用SSHP技术可以回收这部分低品位热量。 污水处理厂污水处理厂同时会产生大量污泥,经高温厌氧消化后可生产沼气。 如果沼气用于发电,可以为污水处理厂提供电力。 由于污水处理厂通常面积较大,这些空间资源可以用来安装光伏发电组件,为工厂提供电力来实现光伏发电。 图1显示了污水处理厂的能源使用模式。
2.1污水源热泵(SSHP)
污水处理厂热能利用的主要途径是通过SSHP技术从污水中提取热能。 部分回收的热量用于满足污水处理厂的供暖需求,另一部分则运送到城市建筑供暖的加热站。 图2(a)是污水处理厂SSHP技术流程图。
2.2 污泥厌氧消化技术(SADT)
使用SADT实现污泥灭菌和还原可同时生产沼气,是实现污泥资源回用的主要技术途径。 沼气发电机组将沼气化学能转化为电能,在污水曝气处理中作为风机的动力源,取代原有的外部输入电源,实现污水处理过程的节能降耗。 从而实现“碳中和”运营效果。 图2(b)是使用SADT流程图的污水处理厂。
2.3 光伏发电(PPG)
污水处理厂在处理时需要大量的曝气池。 它们需要大量的空间,并且可以利用工厂空间和建筑物上的空间建造太阳能设施来驱动设备或提供热量。 图2(c)是污水处理厂PPG流程图。
- 污水处理厂典型节能技术节能分析
用SSHP,SADT和PPG将城市污水处理厂的污水,污泥和空间资源转化为热能和电能,以抵消污水处理厂的能源消耗,以实现污水处理厂的节能和减碳效益。
3.1 SSHP的节能分析
污水源热泵技术的节能数学模型可以用下列公式表示。
(1)
(2)
(3)
(4)
(5)
北京高碑店污水处理厂污水处理能力为100万米\/ d,秦皇岛港区污水处理厂污水处理能力为12msup3;/ d。
表1为污水侧传热温差为3℃时,一次能源消耗节能分析模型计算的SSHP系统热源一次能源消耗的节能效果。 每处理1msup3;污水,污水处理厂二次污水可从相当于5.9吨标准煤热的SSHP中提取。
|
污水处理量(msup3;/d) |
加热区(m2) |
一次能源消耗量(转为标准煤)(t) |
燃煤锅炉房一次能源消耗量(转为标准煤)(t) |
节能(转为标准煤)(t) |
|
1000000 |
5104000 |
564.6 |
1154.6 |
590.0 |
|
120000 |
613000 |
67.8 |
138.6 |
70.8 |
注意:在相同的加热条件下比较。
根据SSHP的节能数学模型和表1,当传热温差相同时,单位体积污水的节能效果相同。 例如,在污水传热温差为3℃的情况下,每立方米污水产生的能源效应相当于节约标准煤0.59千克。
可以看出,使用SSHP从污水中提取热量具有很大的节能潜力,提取热量不仅可以用于污水处理厂的内部使用,而且可以用于建筑物周围的污水处理厂的加热。 不仅节约了污水处理厂的运行热量,而且有利于污水处理厂“碳中和”运行模式的实现,间接降低了碳排放的影响。 提取的热量的输出可以获得一定的经济价值。
3.2 SADT的节能分析
式(7)表示了SADT节能分析的数学模型。
(7)
在方程式中:是污泥高温厌氧消化技术的节能量,kWbull;h;G是日处理污泥的能力,msup3;/ d;是污泥含水量;是沼气生产率,msup3;/ tDS; 是沼气发电量,kWbull;h / msup3;; W1是沼气池中搅拌污泥的耗电量,kWbull;h; W2是沼气池外污泥循环的耗电量,kWbull;h。
通过对污泥日处理量1000msup3;的估算,分析了厌氧消化的节能效果。沼气硝化池搅拌污泥电耗与沼气池外污泥循环的电耗如下:
1)沼气池搅拌污泥的耗电量(W1)计算如下。 根据到中国的“给排水设计手册”推荐当立方功率为8 W / msup3;,消化池的有效容积为4000 msup3;时, 1 000msup3;污泥每天的厌氧消化约为768 kW·h。
2)沼气池外污泥循环的耗电量(W2)计算如下。 假设污泥日处理能力为1000 m3 / d,循环泵用于沼气池外循环。 当污泥与回流污泥比例为1:2时,污泥循环泵流量为125 msup3;/ h,泵扬程为25 m,机械效率为75%,电机轴功率为11.4 kW,日耗电量约为273.6 kW·h。 因此,当污泥日处理能力为1000msup3;/ d时,SADT的日消耗量为上述两个耗电量之和,约为1041.6 kW·h。
3)污泥嗜热厌氧消化技术沼气生产率和产生能量如下。 当日处理污泥量为1000msup3;/ d时,污泥含水率为96%,沼气产量为220msup3;/ tDS,沼气产生能量为1.74kWh / m TF154),该技术沼气发电量约为15312.0 kW·h / d。 可以粗略估计,当污泥处理能力为1000 m\/ d时,净发电量约为14270.4 kW·h / d。
综上所述,污泥作为污水处理的相关产品,如果污泥可用于资源利用,则可为污水处理厂的运行提供所需的电力,从而实现污水处理厂的“碳中和”运行。污泥处理产生的沼气也可以产生一定的经济价值。
3.3 PPG的节能分析
以北京良乡卫星城污水处理厂为例,该项目占地面积约12.3万平方米,项目日处理污水量为4.0times;103msup3;/ d。 北京市房山区太阳总辐射量为4,841.54 MJ /(m\·a),年日照时数为2780.2 h。 一个项目在污水处理厂的主要结构平面上安装了非晶柔性薄膜电池和多晶硅电池,并建造了一座峰值容量为674 kW的光伏电站综合(BIPV)太阳能电站。 经过两个多月的运行结果,每日发电量约为1450 kW·h。 转换后,污水处理厂平均每10000msup3;的污水处理将产生约362.5kW·h的电能。
在这些结构上安装光电板,特别是曝气池,会影响维护人员的行为。 采用PPG成本较高,受气象因素影响,电力输出不稳定。利用发电技术所产生的技术只能抵消污水处理厂耗电量的10%,达到污水处理厂“碳中和”运行效果有限。所以污水处理厂PPG的应用很困难。
4、污水处理厂典型节能技术经济分析
4.1 初始投资分析
由于这三种节能技术属于不同的技术领域,难以直接比较。 针对不同的技术选择不同的典型案例,分析不同案例的初始投资。
(1)SSHP:秦皇岛港区污水处理厂建立了一套SSHP系统,为工厂建筑供暖和制冷。 初始投资约804,680元人民币。 该厂污水处理能力为12万msup3;/ d,相当于日处理污水能力约6.7元/msup3;的初始投资。
(2)SADT:高碑店污水处理厂通过沼气内燃机 - 使用生化沼气的余热回收发电机组。 一期投资6000万元左右,二期投资50000万元。 污水处理能力为100万msup3;/ d,相当于日处理污水能力约110元/msup3;的初始投资。
(3)PPG。 北京良乡卫星城污水处理厂建成容量为674kWp的太阳能发电站在污水处理池中,年均发电量预计将达到80.85万kWbull;h。有文献显示,目前光伏电站装机成本约为11357元/ kW,因此北京良乡卫星城污水处理厂建设光伏电站初始投资约76.55万元。污水处理能力为4000msup3;/ d,相当于日处理污水能力约191.4元/msup3;的初始投资。
通过比较上述三种情况,可以得出三种节能技术初始投资的趋势,即SSHP技术的最低初始投资,其次是SADT,这是PPG的最初投资。
4.2 经济效益
(1)SSHP:根据以下数学模型,如果将SSHP用于污水处理厂,则每处理10000msup3;污水可实现5.9吨标准煤的节能。 如果标准煤价格按500元/吨计算,节约成本2950元即每米\污水得到处理可以节省运营成本0.295元。
(2)SADT:根据第3.2节的数学模型,如果SADT用于污水处理厂,当日处理污泥量为1,000 msup3;/ d时,净产出量可达到约14270.4 kWbull;h。 如果电价为0.7625元/千瓦时,污水处理厂将节省10,881.18元。 由于每2,500,000msup3;
剩余内容已隐藏,支付完成后下载完整资料
资料编号:[440906],资料为PDF文档或Word文档,PDF文档可免费转换为Word
您可能感兴趣的文章
- 两种水处理厂活性污泥生物群落生物指示物真核生物的比较:一个案例研究外文翻译资料
- 针叶凋落物挥发性有机化合物的顶空-固相微萃取技术分析外文翻译资料
- 流动注射-在线固相萃取化学发光系统测定天然水中痕量铜外文翻译资料
- 电感耦合等离子体原子发射光谱法,火焰原子吸收光谱法和紫外 – 可见分光光度法测定制革废水中的总铬外文翻译资料
- 表面改性对活性炭吸附苯酚和2,4-二硝基苯酚的影响外文翻译资料
- 伊斯坦布尔一级和三级城市污水处理厂的成本比较评价外文翻译资料
- 基质固相分散(MSPD)是测定粉尘中多溴二苯醚(PBDEs)的简单有效的样品制备技术外文翻译资料
- 乙酰胆碱酯酶是广谱有机环境污染物的潜在生物标志物外文翻译资料
- 纳米材料导论概述:广谱应用外文翻译资料
- 植物和粪便生物炭的性质及其对邻苯二甲酸二丁酯和菲的吸附外文翻译资料
