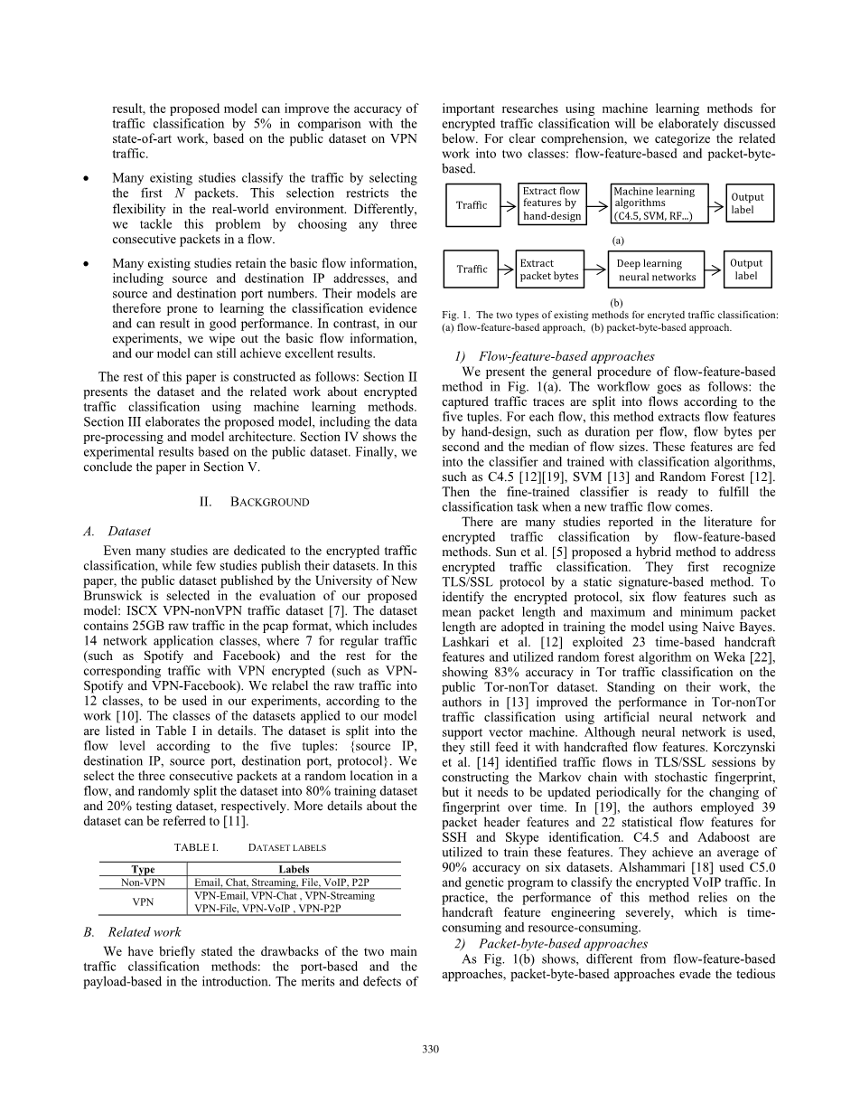
开放实验室管理系统设计与开发外文翻译资料 2022-01-04 21:20:13 英语原文共 6 页,剩余内容已隐藏,支付完成后下载完整资料 英语原文共 14 页,剩余内容已隐藏,支付完成后下载完整资料资料编号:[2347] 原文和译文剩余内容已隐藏,您需要先支付 30元 才能查看原文和译文全部内容!立即支付 发小红书推广免费获取该资料资格。点击链接进入获取推广文案即可: Ai一键组稿 | 降AI率 | 降重复率 | 论文一键排版 PREVIOUS NEXT 您可能感兴趣的文章 管理信息系统外文翻译资料 老年人的营养和营养需求外文翻译资料 试卷自动生成系统的设计与实现外文翻译资料 JSP的技术发展历史外文翻译资料 微软.NET平台的介绍外文翻译资料 设置一个Servlet和JSP环境外文翻译资料 Java Servlet外文翻译资料 基于递归神经网络的会议识别语言建模外文翻译资料 基于社区结构的推荐算法和用户的信任外文翻译资料 边缘路径绑定:一种不太模糊的边缘绑定方法外文翻译资料