

英语原文共 5 页,剩余内容已隐藏,支付完成后下载完整资料
并网光伏系统的谐波和无功补偿
Renukadevi V a*, Dr. B Jayanand b
摘要:预计分布式发电(DG)将在不久的将来在电力系统中发挥重要作用。人们普遍认为,光伏发电目前正在吸引注意力,以满足用户在分布式发电市场的需求。为了调查配电系统中光伏(PV)装置的能力,需要它们的有效建模。本文提出了一个光伏发电系统的动态模型。非线性负载日益增加的应用可能会导致配电系统电能质量问题。为了利用分布式发电(DG)单元接口转换器主动补偿谐波,本文提出了一种增强型控制方法。本文选择了同步参考框架策略,并网发电光伏发电系统(PVG)可以将有功功率发送到电网,补偿谐波并吸收本地负载产生的无功功率。转换器控制器模型在MATLAB / SIMULINK中实现。所实施的PV模型的性能是在隔离负载下进行研究的。同步参考框架策略用于生成补偿的电流参考,并使用常规PI控制器进行控制。该策略利用坐标变换来分离负载电流中的无功和谐波含量。闭环控制器的设计通过将它们建模为一阶系统而保持简单。仿真研究表明,采用无功电流补偿的结果良好,几乎可以获得理想的近似单位功率因数和谐波电流得到较大程度补偿的结果。
关键词:分布式发电,并网光伏系统,电能质量,无功补偿,同步参考架构策略
简介
分布式发电(DG)可以定义为发电网络中或用户侧的发电。为了利用接口转换器来补偿谐波,文献[1]中引入了增强型电流控制方法。通过逆变器控制,可以满足负载的有功和无功功率要求[2]。由于传统电力系统越来越多,与静态逆变器接口的分布式发电(DG)受到电力需求扩大,电力交付能力限制,新建输电线路复杂化和停电等因素的影响[5-9]。电力质量,安全和环境问题以及商业激励正在使替代能源[3] [4]受到欢迎。各种控制技术在[10]中提出。本文介绍了并网光伏发电分布式发电的建模,仿真和谐波及无功补偿。在本研究中,同步参考系统策略用于产生补偿的电流参考,传统PI控制器用于控制。同步参考系策略利用坐标变换来分离负载电流中的无功和谐波含量。[11]中提出的控制技术使测量和传感器的数量最小化[12]。介绍了由直流-直流升压转换器和直流-交流电压源逆变器驱动的并网型DG系统的运行情况,以及用于并网DG系统电能质量改进的功率转换器的设计,建模和控制[13]。
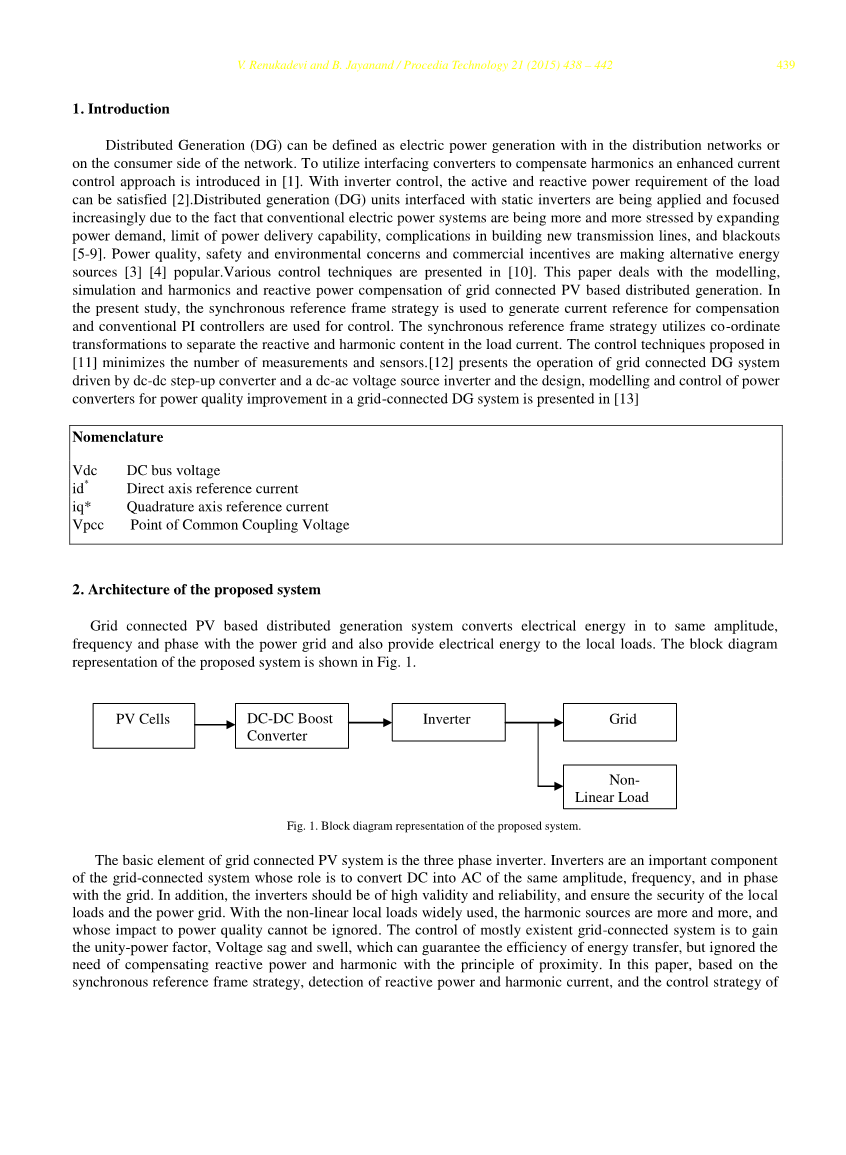
拟议系统的架构
电网连接的基于PV的分布式发电系统将电能转换成与电网相同的幅度,频率和相位,并且还向本地负载提供电能。 所提出的系统的框图表示如图1所示。
并网光伏系统的基本元素是三相逆变器。逆变器是并网系统的一个重要组成部分,其作用是将直流转换为与电网相同振幅,频率和相位的交流电。另外,逆变器应具有高度的有效性和可靠性,并确保本地负载和电网的安全。随着非线性局部载荷的广泛应用,谐波源越来越多,其对电能质量的影响也不容忽视。大多数现有并网系统的控制是获得单位功率因数,电压骤降和骤升,这可以保证能量传递的效率,但忽略了按照接近原理补偿无功功率和谐波的需要。本文在研究同步参考架构策略,无功功率和谐波电流检测以及逆变器控制策略的基础上,研究了一种新型的并网型并网系统,该系统既能传输有功功率,又能补偿谐波电流由本地负载和它们吸收的无功功率产生。
并网系统
并网光伏系统的基本工作原理如下:
检测局部非线性负载的电网电压和电流;计算得到包括谐波分量和负载电流无功分量在内的指令电流信号以及向电网输送的有功分量;它跟踪指令电流引起的实际补偿电流,补偿电网电流的谐波和无功分量,并补偿负载电流的谐波和无功分量,补偿电网电流的有功分量,并提供有功功率的负载和功率格。本文提出了一个并网光伏系统。它主要由两部分组成,一部分是检测谐波和无功分量的电路,另一部分是产生补偿电流的电路。这里的负载电流有三个分量:有功,无功和谐波。这个想法是控制电压源逆变器,使其能够输出负载所需的无功和谐波电流。因此控制器必须产生电流参考值,其中包括计算负载吸收的无功和谐波电流。
电流参考
本研究基于应用坐标变换来分离负载电流的无功和谐波含量。所使用的策略是同步参考框架(SRF)策略。一旦产生了电流基准,下一步就是设计控制器,控制器的工作就是使电压源逆变器的输出电流跟随电流基准。 同步参考框架策略是用于生成当前参考的流行方法。 它使用坐标变换来生成当前参考。它采用了着名的Clarkes Transformation(克拉克变换)和Parks Transformation(派克变换)来达到这个目的。克拉克的变换只处理三个方程中的两个方程。因此,它节省了大量的计算工作。Park的变换只不过是沿着电压空间矢量的方向找到负载电流的分量并与其正交。
在d-q平面中生成参考电流
在上述补偿程序中,唯一使用滤波器的地方是d轴上的高通滤波器。它被实现为低通滤波器,其输出从原始信号中减去。由于高通滤波器只能阻挡直流分量,因此低通滤波器的截止频率将设置为10HZ。现在,低通滤波器的输出为直流,不会有任何幅度或相位偏差。所以,任何地方都不需要补偿器。因此,Park的转型降低了实施的复杂性。
(1)仿真结果
图2显示了具有恒定辐照度和恒定温度的PV模块的P-V和I-V特性,开路电压为20V,短路电流为2.5A。对于并网光伏系统的仿真,考虑将太阳能电池作为与二极管并联的电流源的等效电路。电流源的输出与太阳能成正比。在该模拟中,PV阵列在20V的开路电压和2.5A的短路电流下产生52.5W的最大功率。这个PV电池被馈送到DC-DC升压转换器升压。光伏电池的栅极集成通过逆变器完成。逆变器将光伏系统产生的所有有功功率注入电网。逆变器行为由满足无功功率控制和高功率质量的控制器单元命令。光伏阵列和逆变器之间的互连由直流链路电容器操作。直流母线电压Vdc的控制平衡了系统中的功率流。光伏逆变器在公共连接点(PCC)连接到电网。
完整的系统模型在Matlab / Simulink环境下进行仿真。获得转换器输入光伏输出的直流 - 直流升压转换器的输出波形,该电压在t = 0.05秒时达到80V。二极管整流器在每相中提供RL负载。这种非线性负载不断从电网中吸收谐波电流,该电流如图3所示。图4显示了由控制电路跟踪的参考电流,图5显示了跟踪电流。
结果表明,从t = 0.05秒起,从电网汲取的无功功率Q保持为零。显示负载的无功功率补偿。直流母线电压保持恒定。还可以看出,补偿后的电网电压和电流是同相的,电网不需要为负载提供无功和谐波电流。
(2)结论
对并网光伏发电系统的同步参考架控制器进行了仿真,并对结果进行了研究。研究表明该系统在变化的负载条件下具有良好的动态性能。尽管无功电流补偿给出了非常有利的结果,但谐波性能在很大程度上取决于负载。由于逆变器可能仅在时间平均的意义上产生电压,所以谐波可能无法完全补偿。锁相环的存在避免了DG和电网之间同步的问题。
参考文献
[1] Jinwei He,Yun Wei Li,Frede Blaabjerg and Xiongfei Wang , Active Harmonic Filtering Using Current-Controlled, Grid-Connected DG Units With Closed-Loop Power Control, IEEE Transactions on Power Electronics.vol.29,no 2, p 642-653,February.2014.
[2] Edris Pouresmaeil,Carlos Miguel-Espinar,Miquel Massot-Campos,Daniel Montesinos-Miracle and Oriol Gomis-Bellmunt , A control Technique for Integration of DG Units to the Electrical Networks, IEEE Transactions on Industrial Electronics,vol. 60,no 7,p 28812893,July.2013.
[3] Si-Hun Jo,Seo Eun Son and Jung-Wook Park ,On improving Distortion Power Quality Index in Distributed Power Grids, IEEE Transactions on Smart Grid.,vol. 4,no 1,p 586-595,March.2013.
[4] Prakash K . Ray, Soumya R. Mohanty, and Nand Kishor , Classification of Power Quality Disturbances Due to Environmental Characteristics in Distributed Generation System, IEEE Transactions on Sustainable energy.,vol. 4,no 2, p 302-313,April 2013. [5] Rafael Amral Shayani and Macro Aurelio Goncalves de Oliveira , Photovoltaic Generation Penetration Limits in Radial Distribution Systems, IEEE Transactions on Power Systems.vol.26,no. 3,p 1625-1631,August.2011.
[6] T. Zhou and B. Franccedil;ois, Energy management and power control of a hybrid active wind generator for distributed power generation and grid integration, IEEE Trans. Ind. Electron., vol. 58, no. 1, p. 95–104, Jan. 2011.
[7] M Singh, V. Khadkikar, A. Chandra, and R. K. Varma, Grid interconnection of renewable energy sources at the distribution level with power quality improvement features, IEEE Trans. Power Del., vol. 26, no. 1, p. 307–315, Jan. 2011. [8] M. F. Akorede, H. Hizam, and E. Pouresmaeil, Distributed energy resources and benefits to the environment, Renewable Sustainable Energy Rev., vol. 14, no. 2, p. 724–734, Feb. 2010.
[9] C. Mozina, Impact of green power distributed generation, IEEE Ind. Appl. Mag., vol. 16, no. 4, p. 55–62, Jun. 2010.
[10] E. Pouresmaeil, D. Montesinos-Miracle, O. Gomis-Bellmunt, and J. Bergas-Janeacute;, A multi-objective control strategy for grid connection of DG (distributed generation) resources, Energy, vol. 35, no. 12, p. 5022–5030, Dec. 2010.
[11] Milka Salo and Heikki Tuusa , A Novel open-Loop Control Method for a Current Source Active power Filter, IEEE Transactions on Industrial Electronics,vol. 50,no 2,p 313-321,April.2003.
[12] Giovani Guarienti Pozzebon, Amilcar Flamarion Querubini Goncalves,Guido Gomez Pena, Nilton Eufrazio Martino Mocambique and Ricardo Quadros Mach
剩余内容已隐藏,支付完成后下载完整资料
资料编号:[21830],资料为PDF文档或Word文档,PDF文档可免费转换为Word
