

英语原文共 7 页,剩余内容已隐藏,支付完成后下载完整资料
层次分析法的改进及其在煤矿安全评价中的应用
关键词:层次分析法;综合评价;模糊数学;均方根法;遗传算法
摘要: 研究了层次分析法(AHP)判断矩阵的权值计算和一致性问题,并将该研究应用于煤矿安全评价。由于煤矿环境的特殊性和复杂性,为了保证煤矿系统安全综合评价,通常采用层次分析法,这是个刺耳的东西应用层次分析法求解判断矩阵的权值和一致性问题。确定权重值,保证判断矩阵的一致性是层次分析法的主要研究方向。采用遗传算法计算判断矩阵的权重值和一致性并运用权重值的解法对煤矿系统的安全状况进行了模糊综合评价。实例研究表明,用遗传算法计算IDNEX权值的计算效果优于其他方法。
介绍:
改革开放以来,我国煤炭的能源需求逐年增加,煤矿的地位越来越重要,煤炭的价格也越来越高,煤矿高强度劳动事故频发,因此煤炭开采是一种高风险产业。地下作业包含许多不安全因素:瓦斯、煤尘、顶板倒塌、火灾、突水,高温、高湿度、高风速随时都会威胁到人员的健康。由于地下生产环境的不同,事故的原因也不同,这些因素会导致事故的发生是相关的,因此如何处理煤矿安全评价就显得尤为重要。
煤矿安全评价指标体系中有众多的评价指标,对两个或两个以上的指标进行综合评价是比较困难的,可以对所有指标进行全面的综合评价。各指标之间的重要性程度难以比较。层次分析法(AHP)是一种综合评价方法,它能综合考虑定性和定量因素。该方法通过对各指标的重要性进行比较,得到由专家组成的指标重要性判断矩阵,从而得到指标的重要程度。与专家点法相比,该方法对指标的重要性是相对客观的。
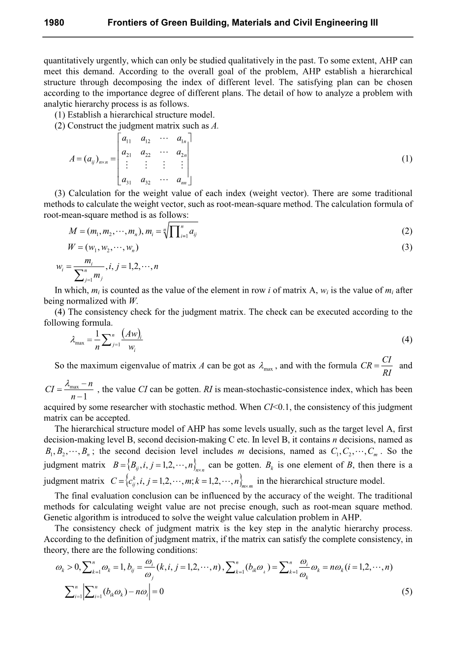
层次分析法通常将评价体系分解为目标层次、标准层次和方案层次。在此基础上,运用层次分析法对系统进行了定性或定量的分析。层次分析法中的判断矩阵是基于专家
点法的,因此数据具有一定的主观性,有时判断矩阵不一致。采用遗传算法求解判断矩阵的一致性,确定指标权重值(重要度)。应用模糊综合评判法对某煤矿的安全状况进行了评价。实例研究和应用结果表明,GA可以有效地解决判断矩阵的一致性问题,有效地确定权重值。
1理论分析:
层次分析法是解决复杂决策问题的一种有效的新方法。随着科学技术的发展,经济、生物、心理、组织管理等方面的因素、对象和观念等问题需要研究,这在过去只能定性地研究,在一定程度上,层次分析法能够满足这一需求。根据问题的总体目标,层次分析法通过对不同层次的指标进行分解,建立了层次结构。根据不同方案的重要程度,可以选择满意的方案,下面详细介绍了如何用层次分析法分析问题:
(1)建立层次结构模型。
(2)构造判断矩阵。
(1)
- 计算每个指标的权重值(权重向量)。传统的计算权向量的方法有许多,如均方根法的计算公式如下: (2)
(3)
其中,被计算为矩阵的第一行中元素的值,是与规范后的值。
- 判断矩阵的一致性检查。可以按照以下公式执行检查。
(4)
因此,矩阵A的最大特征值可以求为lambda;,用公式CR = 和CI= 表示,也可以得到CI值。RI是均值随机一致性指数,它已经被认为是一种平均随机一致性指标。由一些研究者用随机方法获得。当CIlt;0.1时,该判断矩阵的一致性是可以接受的。
层次分析法的层次结构模型通常有A级、B级、C级等层次。在B级中,它包含n个决策,命名为B1,B2,. . . ,Bn;第二个决策级别包括m个决策,命名为C1,C2,. . ., cm。于是在层次结构模型中,由判断矩阵B=Bij,i, j =1 2,...,nn.n,可以得到BK是B的一个元素,以及判断矩阵C = cijk ,i , j =1 2, ...,m; k =1, 2,...,nm.m 。
最终的评价结论会受到权重的准确性的影响。传统的权值计算方法,如均方根法等,都不够精确.。采用遗传算法求解层次分析法中的权值计算问题。判断矩阵的一致性检验是层次分析法的关键步骤。根据判断矩阵的定义,如果矩阵能满足完全一致性,理论
上有以下条件:
(5)
将判断矩阵的一致性问题转化为一个非线性函数优化问题,其公式如下:
min CIF(n)= (6)
公式(6)中,CIF(N)是判断矩阵的一致性函数,omega;是序权值。用常规方法很难解决这一问题,因此,引入遗传算法来处理该函数。
遗传算法是一种智能函数优化方法,它为求解复杂系统问题提供了一个通用的框架。在遗传算法过程中,计算中的整体搜索策略和优化研究方法不依赖于梯度信息或其他辅助知识。图一给出了遗传算法的基本运算过程,包括选择算子、交叉算子和变异算子。个体算子在随机选择中的运算,保证了最优解在群体中的迁移规律是随机的,并且有针对性的研究是更有效率。
原始群体(种群)
末端条件
输出结果
随机[0,1] lt; PC
随机[0,1]lt;
(1).遗传算法运算过程
在上述图(1)中,pc是基因的交叉概率,pm是基因的突变概率。
2.个案研究:有两个判断矩阵如下。权重值的计算结果见表1,分别用均方根法和遗传算法求解。
从表1中可以看出,遗传算法的结果比均方根法的结果更准确。例如,在B1的计算中,当计算时用均方根法,判断矩阵不能通过一致性检验。用遗传算法计算出的权重排序可以使B1的一致性检验令人满意。结果表明,遗传算法相对于均方根法可以得到更准确的权重值和更准确的一致性检验。
表1 两种方法计算结果的比较
|
时间 |
判断 |
|
权重值 |
检验 |
||||
|
omega;1 |
omega;2 |
omega;3 |
omega;4 |
omega;5 |
omega;6 |
|||
|
均方根 |
B1 |
0.6118 |
0.1789 |
0.2093 |
0.2821 |
|||
|
GA |
B1 |
0.6542 |
0.1403 |
0.2055 |
0.0499 |
|||
|
均方根 |
B2 |
0.4549 |
0.1388 |
0.2331 |
0.0318 |
0.0618 |
0.0796 |
0.0833 |
|
GA |
B2 |
0.4701 |
0.1381 |
0.2378 |
0.0291 |
0.0545 |
0.0698 |
0.0233 |
3.煤矿安全评价的应用
基于模糊数学的模糊综合评价方法是一种综合评价方法。运用隶属度理论将定性评价转化为定量评价,它可以用模糊数学对受各种因素制约的对象或目标进行综合评价,结果清晰,具有较强的系统性。因此,它可以解决不确定性问题,甚至是模糊问题或难以量化的问题。
3.1 煤矿安全评价指标体系的建立
煤矿生产安全评价实例,研究对象是整个煤矿生产系统,目标层是煤矿安全评价。该指标的第一决策层包括地质条件、技术设备、人员素质、安全教育、环境安全、管理水平六个指标,第二个决策层包含26个因素。索引系统如图2所示。
全文共5486字,剩余内容已隐藏,支付完成后下载完整资料
资料编号:[10031],资料为PDF文档或Word文档,PDF文档可免费转换为Word
|
C1 |
C2 |
C3 |
C4 |
C5 |
C6 |
C7 |
C8 |
C9 |
C10 |
C11 |
C12 |
C13 |
C14 |
C15 |
C16 |
C17 |
C18 |
C19 |
C20 |
C21 |
C22 |
C23 |
C24 |
您可能感兴趣的文章
- 通过在消费者心中树立品牌关系导向来提高酒店品牌绩效外文翻译资料
- “友好“抱怨行为:走向亲密的手段外文翻译资料
- 服务蓝图:针对关键服务流程的有效方法-在四星级国际酒店Arash Shahin 管理部进行案例研究外文翻译资料
- 组织中女性高管职业生涯规划与晋升的视角:连锁性别偏见的经验,双重束缚,和不成文的晋升规则外文翻译资料
- 影响优秀员工工作满意度的激励因素识别外文翻译资料
- 探索离职意向的影响因素:以豪华酒店员工为例外文翻译资料
- 新冠肺炎疫情下,中国酒店旅游业面临的挑战与机遇外文翻译资料
- 酒店Twitter账号的营销效果:以沙特阿拉伯为例外文翻译资料
- 酒店旅游市场营销外文翻译资料
- 中国经济型酒店SWOT分析外文翻译资料
