

英语原文共 10 页,剩余内容已隐藏,支付完成后下载完整资料
基于Android的安全和家庭自动化系统
摘 要
智能移动终端运营商平台android以其广泛并且简便安全的应用在世界各地越来越受欢迎。在我们日常生活的许多领域中有各种各样的应用和巨大的用途,甚至在不久的将来,使用会到和我们的生活密不可分的地步。考虑到本文主要提出了一种基于Android的家庭安全与自动化控制系统。论文中提出的系统既能保证家庭主入口的安全,又能保证行驶车门的安全。门锁设计系统的另一个重要特点是它可以控制房间,并且控制房间内的多个部件。通过以下方式建立移动到安全系统或家庭自动化系统接口:蓝牙技术。硬件部分主要采用PIC单片机进行设计。
关键词
适配器;uuid;mac;gsm;rs-232
1.简介
Android平台在Linux内核中进行主要开发,由操作系统部分、用户界面部分和应用程序组件模块组成,允许开发者进行自由访问和修改源代码来进行转换为自己适宜的系统[1]。因此,Android为开发者又提供了一个免费的平台,提供了大量的应用工具来快速有效生成新的应用程序。
无线技术现在在全世界变得越来越流行,并且对于短距离通信,嵌入式蓝牙技术可以有效并且快速形成数字设备的网络,其中设备和设备之间可以进行彼此连接通信。蓝牙技术是现代家庭自动化的一份惊喜礼物。蓝牙技术的主要工作频率超过2.4 GHz,可以在10米到100米的范围内甚至科技更发达后更远的地方以高达3 Mbps的速度连接数字设备,这主要距离的控制具体取决于蓝牙设备的等级[2],[3]。
本文提出了一个Android的应用程序,它可以有效地使用蓝牙通信协议分别连接与三个不同的家庭系统,家庭安全系统[4],[5],家庭自动化安全系统和车锁安全系统连接。这种布置便于用户具有多个基于密码的安全性,这大大增加了日常生活安全性,安全保障得到了大大的提高。该架构还可以通过简单的用户界面便于控制家用电器。 Android SDK工具主要使用于应用程序的开发与设置,控制器部分使用PIC单片机和Flowcode ver.5编译器设计。
- 与Android的蓝牙通信
国际环境系统与应用杂志(IJASA),Vol.3,No.1,2015年3月
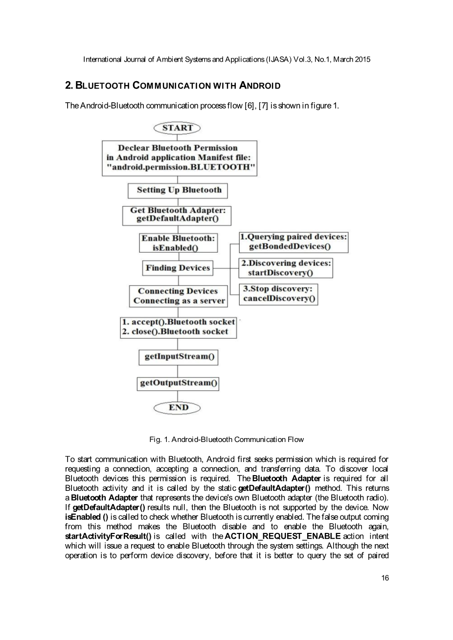
为了开始能与蓝牙通信,Android首先必须寻求连接对象并且请求连接,被连接对象接受连接请求和传输数据所需的许可。如果要发现本地蓝牙设备,需要此权限。蓝牙适配器是数码产品主要适用蓝牙设备的接口转换器,这主要采用了全球通用的短距离无线连接技术,这主要是所有蓝牙活动所必需的,它由静态getDefaultAdapter()方法来调用。这将会代表设备自身蓝牙适配器(蓝牙无线电)的蓝牙适配器。如果getDefaultAdapter()结果为null,则该设备显示不支持蓝牙连接通信。如果现在调用isEnabled()来检查当前是否已经启用了蓝牙通信装备。来自此方法的错误输出将会使蓝牙被禁用并且再次启用蓝牙的话,需要使用ACTION_REQUEST_ENABLE操作意图来调用startActivityForResult(),该操作意图将会通过系统设置重新向连接系统发出启用蓝牙的请求。虽然下一步的操作主要是执行设备发出的,但在此之前,最好通过调用getBondedDevices()来查询配对设备从来集以查看是否已知所需连接设备。 startDiscovery()方法主要是用于一开始发现周围的可以连接的设备。这个异步方法可以立即返回一个稳定的布尔值,指示发现是否已成功启动。执行设备发现是一个耗电过程。使用cancelDiscovery()方法,一旦找到设备进行连接,就可以立即停止继续搜索其他设备,就可以向该设备提出连接请求。对于两个设备之间的连接建立,必须通过一直保持打开状态的BluetoothServerSocket充当预备服务器。服务器套接字的主要目的是侦听传入的连接请求,当接受一个预备请求时,提供连接的BluetoothSocket的程序设备。现在可以通过调用accept()方法来监听连接的请求,该方法实际上是一个阻塞调用的功能,当接受连接或发生异常时将返回该阻塞调用。接受连接请求主要还是取决于有效的UUID(通用唯一标识符)进行有效的匹配,在此监听服务器套接字上注册的那个,并且为了能进行成功匹配,accept()将会返回连接的BluetoothSocket。现在为了避免额外的连接,调用close()方法就会释放服务器套接字及其所有资源,但不会关闭accept()返回的已连接的BluetoothSocket设备。由于accept()方法是可以被阻塞的,因此不应在主活动UI线程中来执行连接的操作,因为它会阻止与应用程序的任何其他的部位交互。使用BluetoothSocket,可以通过分别通过getInputStream()和getOutputStream()来调用处理通过套接字传输的InputStream和OutputStream来建立传输任意数据。
3.初级安全阶段
3.1软件部分
设计的Android应用程序其实主要一开始会受初始级别的特定用户名输入和密码保护的功能,就如图2所示。对于错误的用户名或密码,系统就会生成烤箱“无效的用户名或密码”的显示信息。 如果要获得正确的名称和密码,系统便可以直接访问主软件页面。 用户在进入主线程之前,Android会要求用户允许打开手机中的蓝牙插座来进行与自动化系统的正确对接。
要连接外部蓝牙模块,用户必须要与自动化系统进行连接,这将显示在Android手机的菜单选项卡中,用户选择打开蓝牙开关与系统进行正确连接。 如果连接正确建立,屏幕上将显示确认烤面包机已经连接。 用户必须提供适当的UUID和MAC(媒体访问控制)地址,从而来正确建立用户移动电话的蓝牙模块与特定设备的蓝牙模块之间的准确连接。
图2.主要软件安全性
国际环境系统与应用杂志(IJASA),Vol.3,No.1,2015年3月
3.2硬件部分
主要安全性的硬件部分如图3所示。要访问主要硬件,用户首先必须要提供正确的密码,该密码将会打开硬件部分中能与蓝牙进行有效连接的蓝牙模块的部分。作为中央控制器,使用PIC单片机16F877A控制器来进行对总体要求的精确的控制。该硬件部分主要使用HC-06蓝牙模块与android系统来进行相关操作的正确通信。该模块显示的是串行工作的设备,使用RS-232协议与中央控制器进行正确的通信。 4times;3键盘和LCD液晶显示屏的主要用途是用于分别用户向系统提供密码和检查系统状态的显示和如何使工作状态更完善。如果用户连续三次按错密码,系统将会向房主发送短信(短消息及时通知服务),另一则信息将会发送到用户住宿附近的警察局,整个系统也会自动折叠,封存住,没有授权人员的授权将会无法修复,并且不可继续使用,之后想继续使用该系统,需要授权人员的授权,输入正确的密码后,才可以继续使用该系统。安全警报也会立即被激活。这具有用户住宅的安全性,而且体现的安全性能高并且通过GSM(全球移动系统)调制解调器来进行准确实现。 LCD输出如图4所示。
图3.主要安全硬件部分
图4.安全系统的LCD输出
4.门锁系统
键盘用于用户为门锁系统提供正确的密码,以打开连接到门的蓝牙模块的功能,这是主要安全阶段的一个重要特征。 对于多次错误输入密码,系统将会自动折叠,并将SMS发送到两个特定的电话号码(房主和警察局),如图6所示。系统还将同时启用警报,如果想重新使用该系统,需要得到特定授权人士的授权才能获得重新使用该系统的权限。 图5显示了门锁系统。
国际环境系统与应用杂志(IJASA),Vol.3,No.1,2015年3月
图5
全文共5844字,剩余内容已隐藏,支付完成后下载完整资料
资料编号:[452216],资料为PDF文档或Word文档,PDF文档可免费转换为Word
